🇳🇴 🇬🇧 🇩🇪 🇨🇿 🇫🇮

Meteor über Kragerø 2026-04-26 23:09:43 UTC

KML-Datei  |  Interaktive Karte

Die Karte zeigt die Peilungen für den Meteor. Die helleren Linien zeigen die Richtungen von den Beobachtungsorten beim Erscheinen des Meteors, und die dunkleren Linien, wo er zuletzt gesehen wurde. Der blaue Pfeil zeigt die sichtbare Bahn des Meteors.

static map
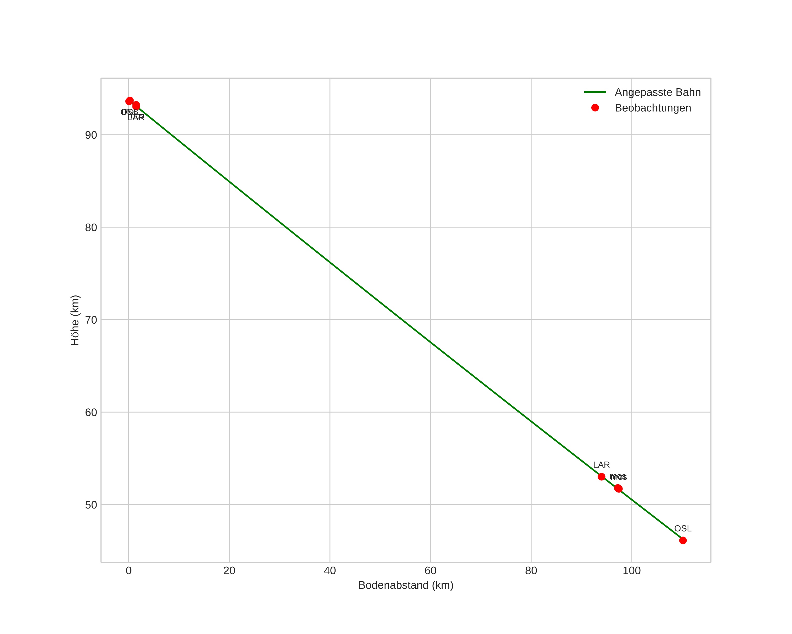
height profile
Atmosphärische Bahn des Meteors:
Anfangshöhe: 93,7 km
Endhöhe: 46,2 km
Startposition: 58,696N 11,290E
Endposition: 58,953N 9,440E
Richtung: 285,8°
Neigungswinkel: 23,3°
Eintrittsgeschwindigkeit: 53,2 km/s
Rektaszension des Radianten: 18:32 (278,2°)
Deklination des Radianten: 11,3°
Meteorstrom: sporadisch
Bahnelemente des Meteoroiden:
Periheldistanz: 0,646 AU
Exzentrizität: 0,651
Inklination: 106,4°
Länge des aufsteigenden Knotens: 36,4°
Argument des Perihels: 264,7°
Mittlere Anomalie: 341,2°
Epoche: 2026 APR 26 23:09:43
orbit plot

Nicht-interaktives Diagramm | Interaktives Diagramm

position vs time
speed and acceleration

Larvik (LAR) cam7


preview
Videos
• Original
Bilder
• Gnomonisch
• Original
Textdateien
• Erkennung
• Beobachtung
• Koordinaten
• Protokoll
Helligkeit

Moss (mos) cam3


preview
Videos
• Original
Bilder
• Gnomonisch
• Original
Textdateien
• Erkennung
• Beobachtung
• Koordinaten
• Protokoll
Helligkeit

Moss (mos) cam7


preview
Videos
• Original
Bilder
• Gnomonisch
• Original
Textdateien
• Erkennung
• Beobachtung
• Koordinaten
• Protokoll
Helligkeit

Voksenlia (OSL) cam3


preview
Videos
• Original
Bilder
• Gnomonisch
• Original
Textdateien
• Erkennung
• Beobachtung
• Koordinaten
• Protokoll
Helligkeit