🇳🇴 🇬🇧 🇩🇪 🇨🇿 🇫🇮

Meteor over Sunndalsøra 2026-04-27 00:57:54 UTC

KML-fil  |  Interaktivt kart

Kartet viser peilingene for meteoren. De lysere linjene viser retningene fra observasjonsstedene for meteorens tilsynekomst, og de mørkere linjene viser hvor den sist kunne sees. Den blå pila viser meteorens synlige ferd.

static map
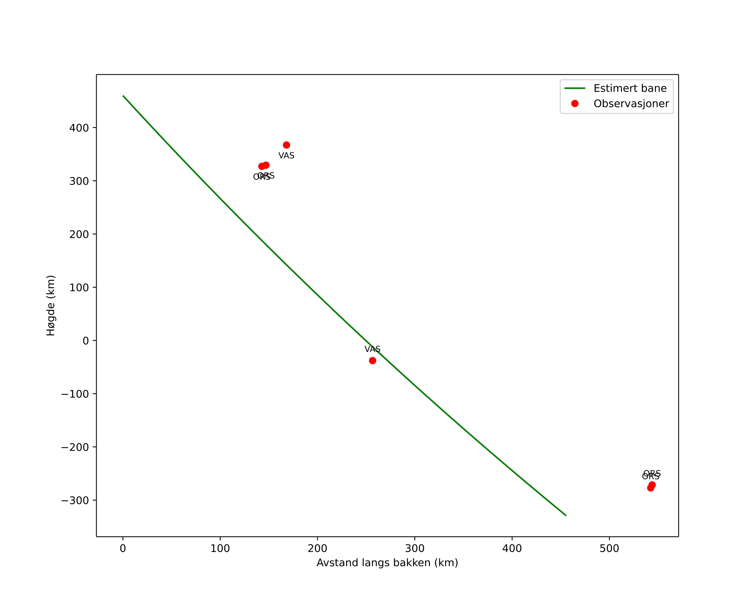
height profile
Meteorens atmosfæriske bane:
Starthøgde: 460,2 km
Slutthøgde: -329,3 km
Startposisjon: 58,865N 11,673E
Sluttposisjon: 62,701N 8,719E
Retning: 340,7°
Fallvinkel: 60,0°
position vs time
speed and acceleration

Orsta (ORS) cam2


preview
Videoer
• Original
Bilder
• Gnomonisk
• Original
Tekstfiler
• Deteksjon
• Observasjon
• Koordinater
• Logg
Lysstyrke

Orsta (ORS) cam6


preview
Videoer
• Original
Bilder
• Gnomonisk
• Original
Tekstfiler
• Deteksjon
• Observasjon
• Koordinater
• Logg
Lysstyrke

Vasteras (VAS) cam4


preview
Videoer
• Original
Bilder
• Gnomonisk
• Original
Tekstfiler
• Deteksjon
• Observasjon
• Koordinater
• Logg
Lysstyrke