🇳🇴 🇬🇧 🇩🇪 🇨🇿 🇫🇮

Meteor over Kopparberg 2026-04-27 21:43:44 UTC

KML file  | Interactive map

map

The map shows the bearings for the meteor. The lighter lines show the directions from the observation sites at the meteor's appearance, and the darker lines show where it was last seen. The blue arrow indicates the visible path of the meteor.

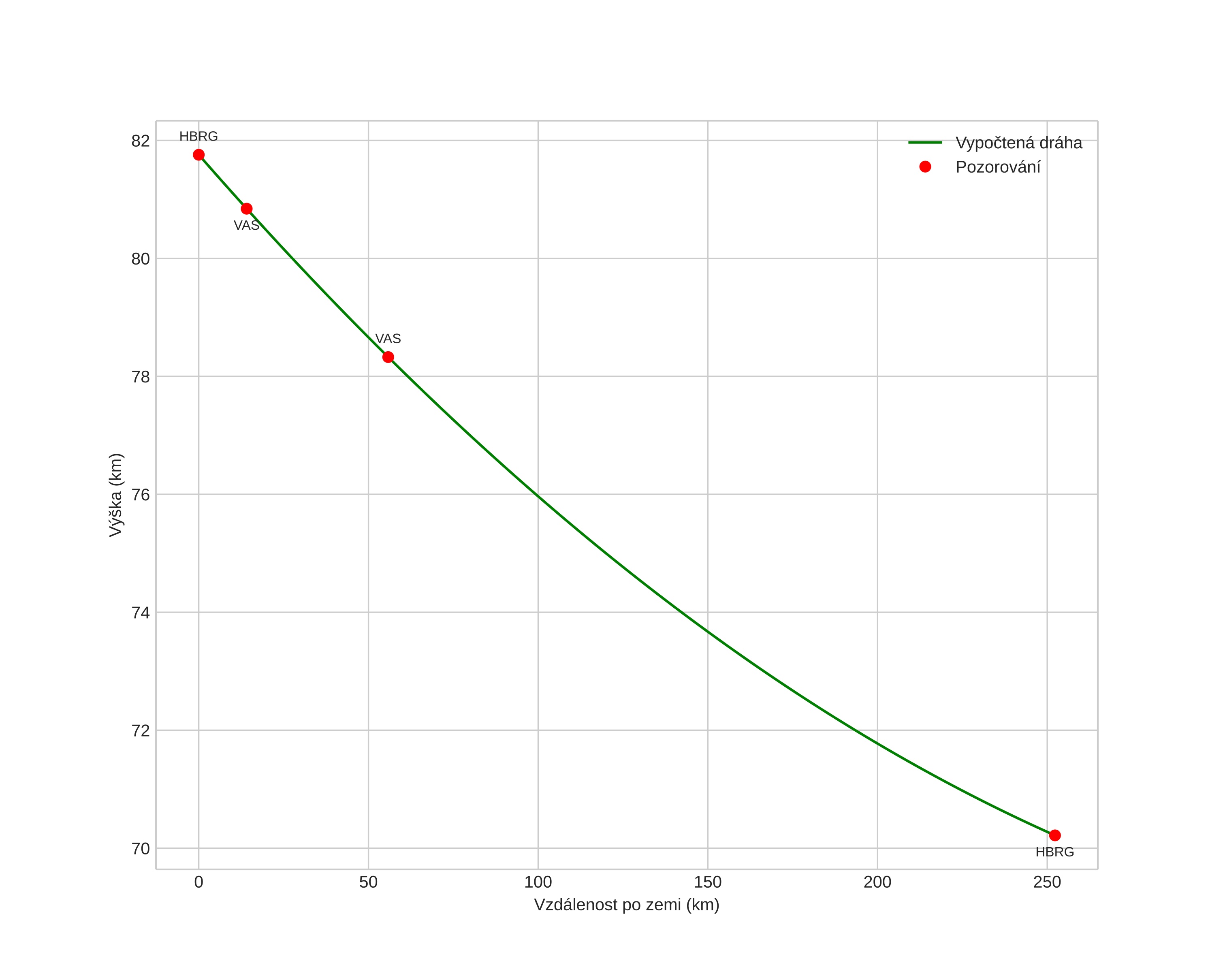
height profile
Meteor's Atmospheric Trajectory:
Start height: 81.1 km
End height: -16.0 km
Start position: 60.246N 17.971E
End position: 59.780N 15.028E
Direction: 253.7°
Inclination angle: 29.5°
position vs time
speed & acceleration