🇳🇴 🇬🇧 🇩🇪 🇨🇿 🇫🇮

Meteor über Molkom 2026-04-27 21:43:44 UTC

KML-Datei  |  Interaktive Karte

Die Karte zeigt die Peilungen für den Meteor. Die helleren Linien zeigen die Richtungen von den Beobachtungsorten beim Erscheinen des Meteors, und die dunkleren Linien, wo er zuletzt gesehen wurde. Der blaue Pfeil zeigt die sichtbare Bahn des Meteors.

static map
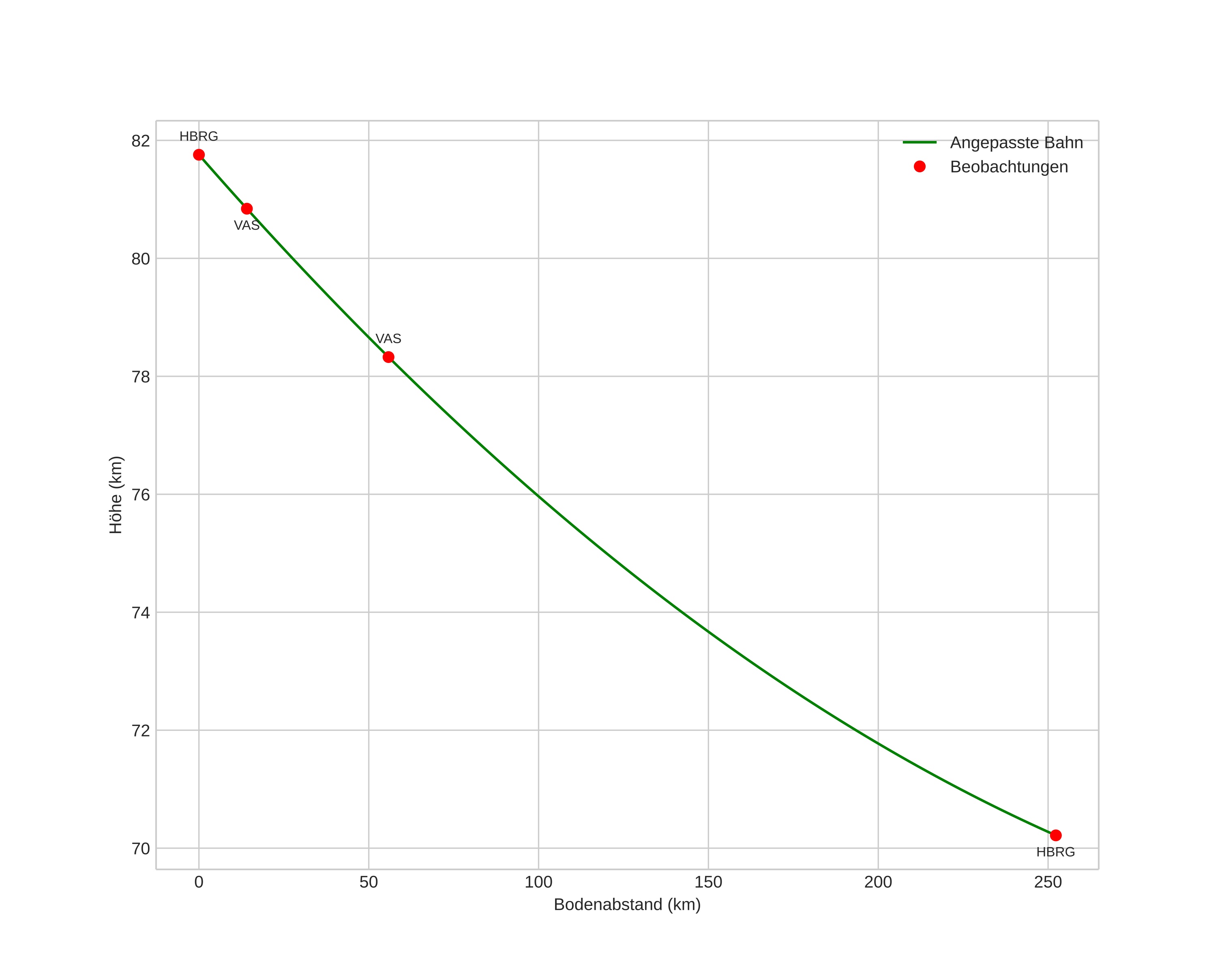
height profile
Atmosphärische Bahn des Meteors:
Anfangshöhe: 81,8 km
Endhöhe: 70,2 km
Startposition: 60,256N 18,116E
Endposition: 59,459N 13,884E
Richtung: 251,3°
Neigungswinkel: 2,6°
Eintrittsgeschwindigkeit: 0,0 km/s
position vs time
speed and acceleration

Vasteras (VAS) cam6


preview
Videos
• Original
Bilder
• Gnomonisch
• Original
Textdateien
• Erkennung
• Beobachtung
• Koordinaten
• Protokoll
Helligkeit