🇳🇴 🇬🇧 🇩🇪 🇨🇿 🇫🇮

Meteor, poloha: Säffle 2021-04-06 20:46:17 UTC

Soubor KML  |  InteraktivnĂ­ mapa

Mapa zobrazuje dráhy meteoru. Světlejší čáry ukazují směry od pozorovacích stanic při objevení se meteoru a tmavší čáry, kde byl naposledy viděn. Modrá šipka značí viditelnou dráhu meteoru.

static map
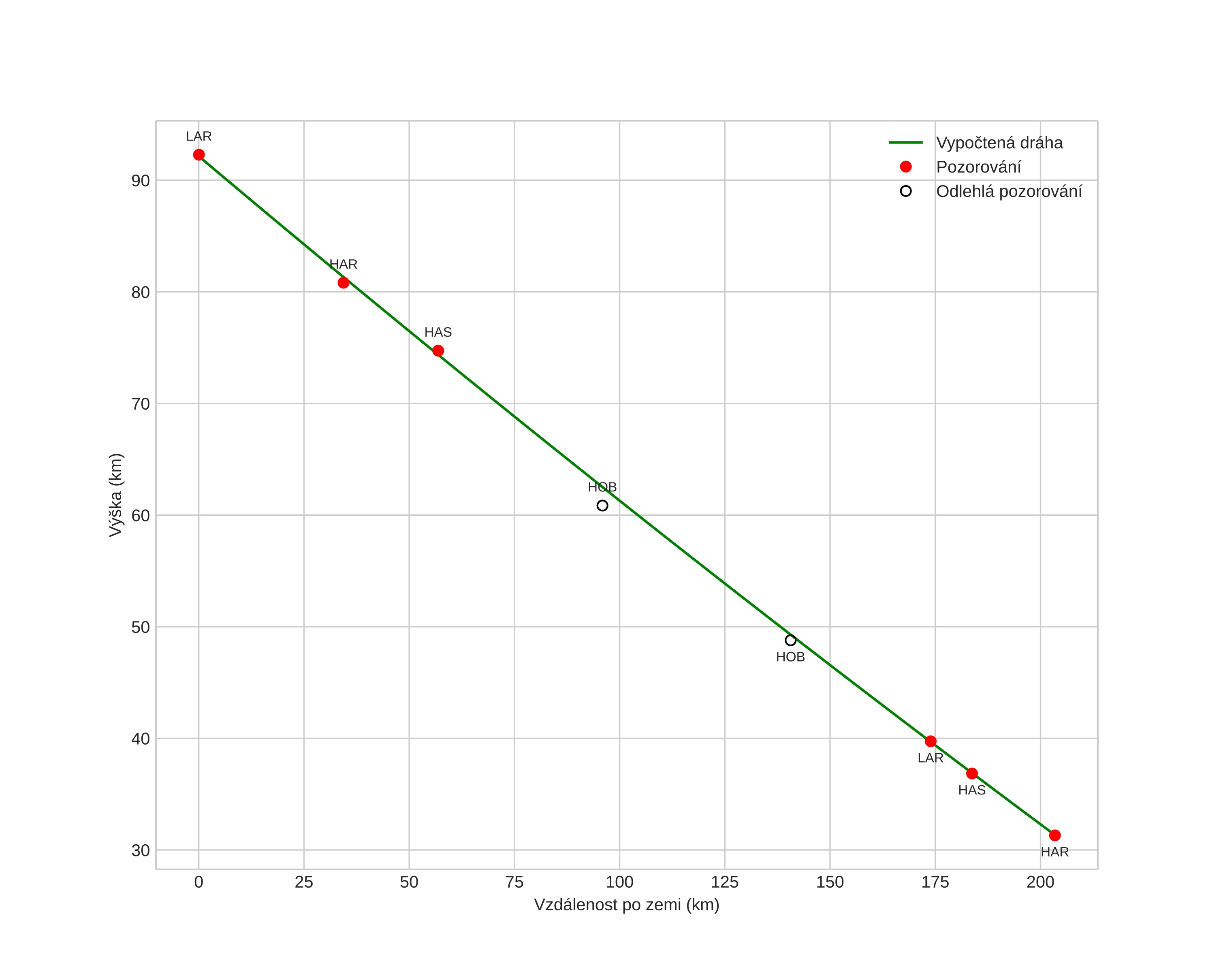
height profile
Atmosférická dráha meteoru:
Počáteční výška: 106,7 km
Konečná výška: 31,9 km
Počáteční poloha: 58,267N 16,828E
Konečná poloha: 59,262N 12,837E
Směr: 297,4°
Sklon: 16,3°
VstupnĂ­ rychlost: 22,0 km/s
Rektascenze radiantu: 14:57 (224,5°)
Deklinace radiantu: -5,2°
MeteorickĂ˝ roj: sporadickĂ˝
Elementy dráhy meteoroidu:
Vzdálenost v periheliu: 0,335 AU
Excentricita: 0,606
Sklon dráhy: 9,6°
Délka vzestupného uzlu: 17,0°
Argument perihelia: 319,7°
Střední anomálie: 286,3°
Epocha: 2021 APR 06 20:46:17
orbit plot

NeinteraktivnĂ­ graf | InteraktivnĂ­ graf

position vs time
speed and acceleration

Harestua (HAR) cam3


gnomonic
Videa
• Gnomonická
• Gnomonická se souřadnicemi
• Původní
• Původní se souřadnicemi
Obrázky
• Gnomonická
• Gnomonická se souřadnicemi
• Gnomonická s popisky
• Původní
• Původní se souřadnicemi
• Původní s maskou
Textové soubory
• Detekce
• Pozorování
• Souřadnice
• Protokol
Jasnost