🇳🇴 🇬🇧 🇩🇪 🇨🇿 🇫🇮

Meteor über Gol 2015-04-12 22:26:44 UTC

KML-Datei  |  Interaktive Karte

Die Karte zeigt die Peilungen für den Meteor. Die helleren Linien zeigen die Richtungen von den Beobachtungsorten beim Erscheinen des Meteors, und die dunkleren Linien, wo er zuletzt gesehen wurde. Der blaue Pfeil zeigt die sichtbare Bahn des Meteors.

static map
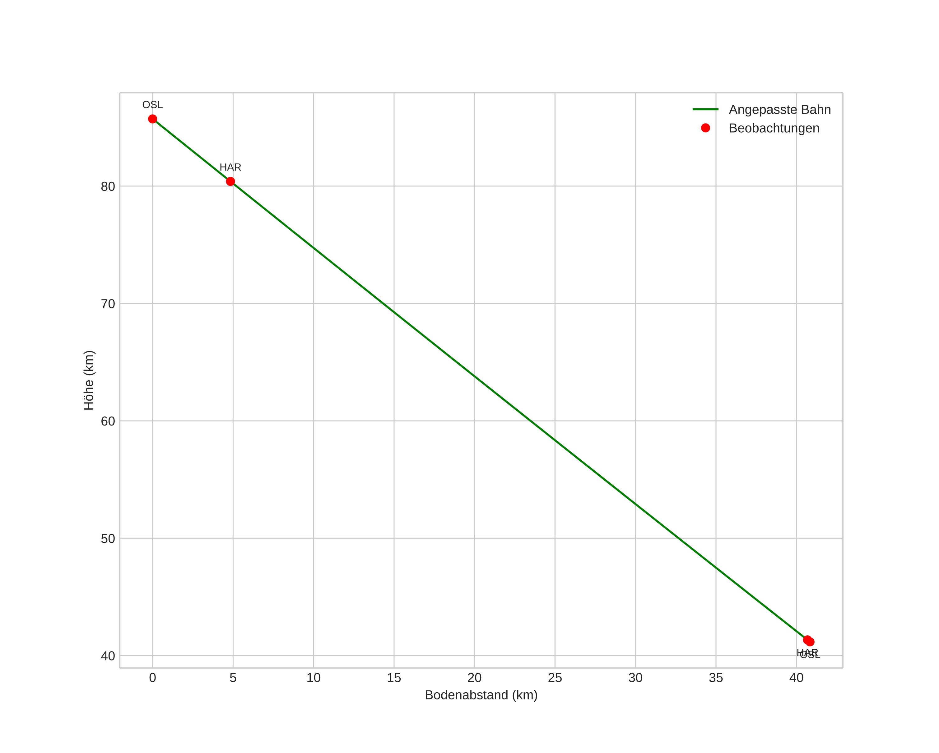
height profile
Atmosphärische Bahn des Meteors:
Anfangshöhe: 85,7 km
Endhöhe: 41,2 km
Startposition: 60,850N 9,062E
Endposition: 60,497N 8,857E
Richtung: 196,0°
Neigungswinkel: 47,5°
Eintrittsgeschwindigkeit: 25,1 km/s
Rektaszension des Radianten: 21:58 (329,6°)
Deklination des Radianten: 71,9°
Meteorstrom: sporadisch
Bahnelemente des Meteoroiden:
Periheldistanz: 0,953 AU
Exzentrizität: 0,757
Inklination: 33,0°
Länge des aufsteigenden Knotens: 22,5°
Argument des Perihels: 152,4°
Mittlere Anomalie: 2,6°
Epoche: 2015 APR 12 22:26:44
orbit plot

Nicht-interaktives Diagramm | Interaktives Diagramm

position vs time
speed and acceleration

Voksenlia (OSL) cam2


gnomonic
Videos
• Gnomonisch
• Gnomonisch mit Koordinaten
• Original
• Original mit Koordinaten
Bilder
• Gnomonisch
• Gnomonisch mit Koordinaten
• Original
• Original mit Koordinaten
• Original mit Maske
Textdateien
• Erkennung
• Beobachtung
• Koordinaten
• Protokoll
Helligkeit