🇳🇴 🇬🇧 🇩🇪 🇨🇿 🇫🇮

Meteor Golin yllä 2015-04-12 22:26:44 UTC

KML-tiedosto  |  Interaktiivinen kartta

Kartta näyttää meteorin suuntahavainnot. Vaaleammat viivat näyttävät suunnat havaintoasemilta meteorin ilmestyessä, ja tummemmat viivat näyttävät, missä se viimeksi nähtiin. Sininen nuoli näyttää meteorin näkyvän lennon.

static map
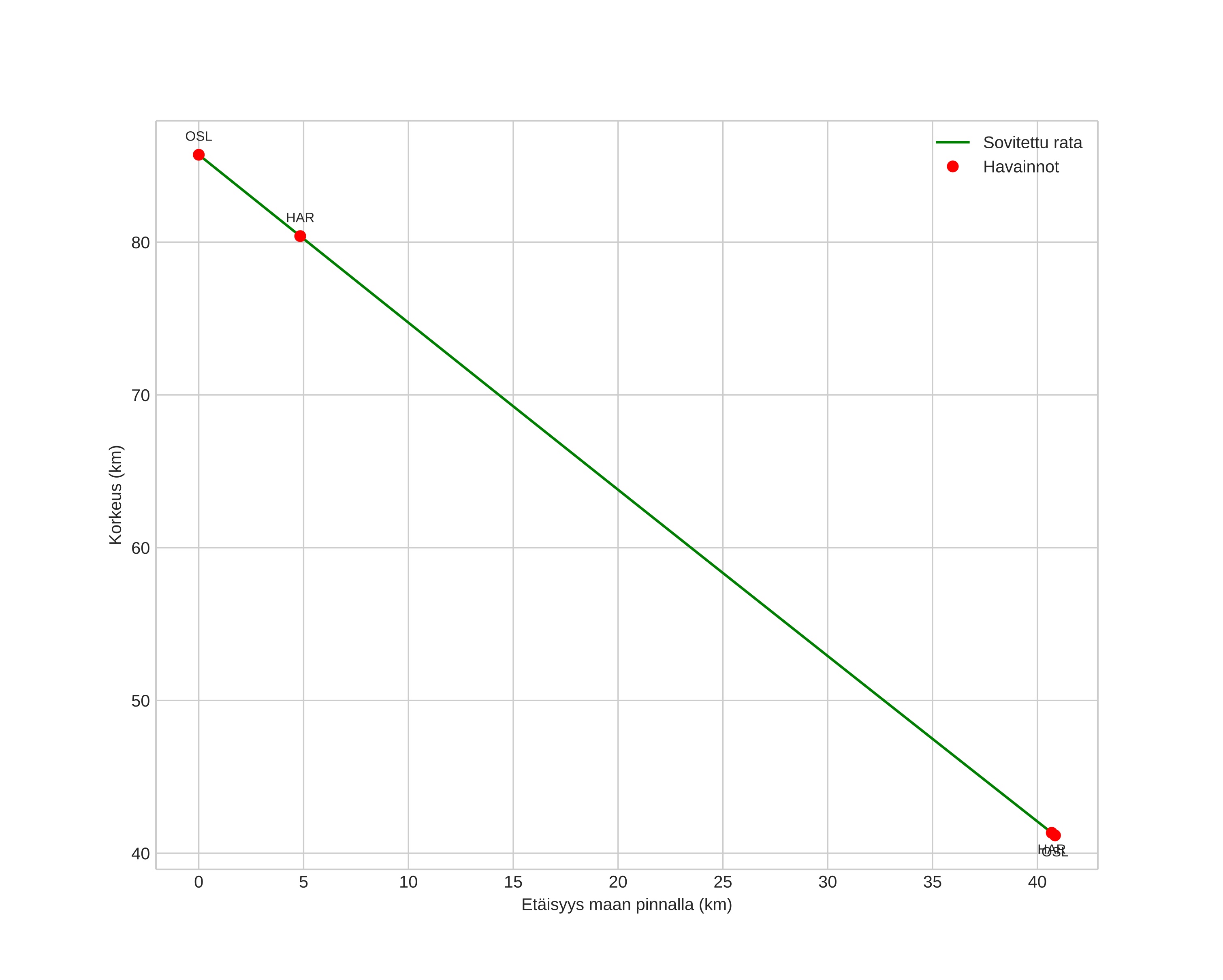
height profile
Meteorin ilmakehärata:
Alkukorkeus: 85,7 km
Loppukorkeus: 41,2 km
Alkupiste: 60,850N 9,062E
Loppupiste: 60,497N 8,857E
Suunta: 196,0°
Kallistuskulma: 47,5°
Tulonopeus: 25,1 km/s
Radiantin R,A,: 21:58 (329,6°)
Radiantin Dekl,: 71,9°
Meteoriparvi: Sporadinen
Meteoroidin rataelementit:
Perihelietäisyys: 0,953 AU
Eksentrisyys: 0,757
Inklinaatio: 33,0°
Nousevan solmun pituus: 22,5°
Perihelin argumentti: 152,4°
Keskianomalia: 2,6°
Epookki: 2015 APR 12 22:26:44
orbit plot

Ei-interaktiivinen kuvaaja | Interaktiivinen kuvaaja

position vs time
speed and acceleration

Voksenlia (OSL) cam2


gnomonic
Videot:
• Gnomoninen
• Gnomoninen koordinaateilla
• Alkuperäinen
• Alkuperäinen koordinaateilla
Kuvat:
• Gnomoninen
• Gnomoninen koordinaateilla
• Alkuperäinen
• Alkuperäinen koordinaateilla
• Alkuperäinen maskilla
Tekstitiedostot:
• Havaintoraportti
• Observaatio
• Koordinaatit
• Loki
Kirkkaus