🇳🇴 🇬🇧 🇩🇪 🇨🇿 🇫🇮

Meteor über Maura 2015-04-19 01:20:32 UTC

KML-Datei  |  Interaktive Karte

Die Karte zeigt die Peilungen für den Meteor. Die helleren Linien zeigen die Richtungen von den Beobachtungsorten beim Erscheinen des Meteors, und die dunkleren Linien, wo er zuletzt gesehen wurde. Der blaue Pfeil zeigt die sichtbare Bahn des Meteors.

static map
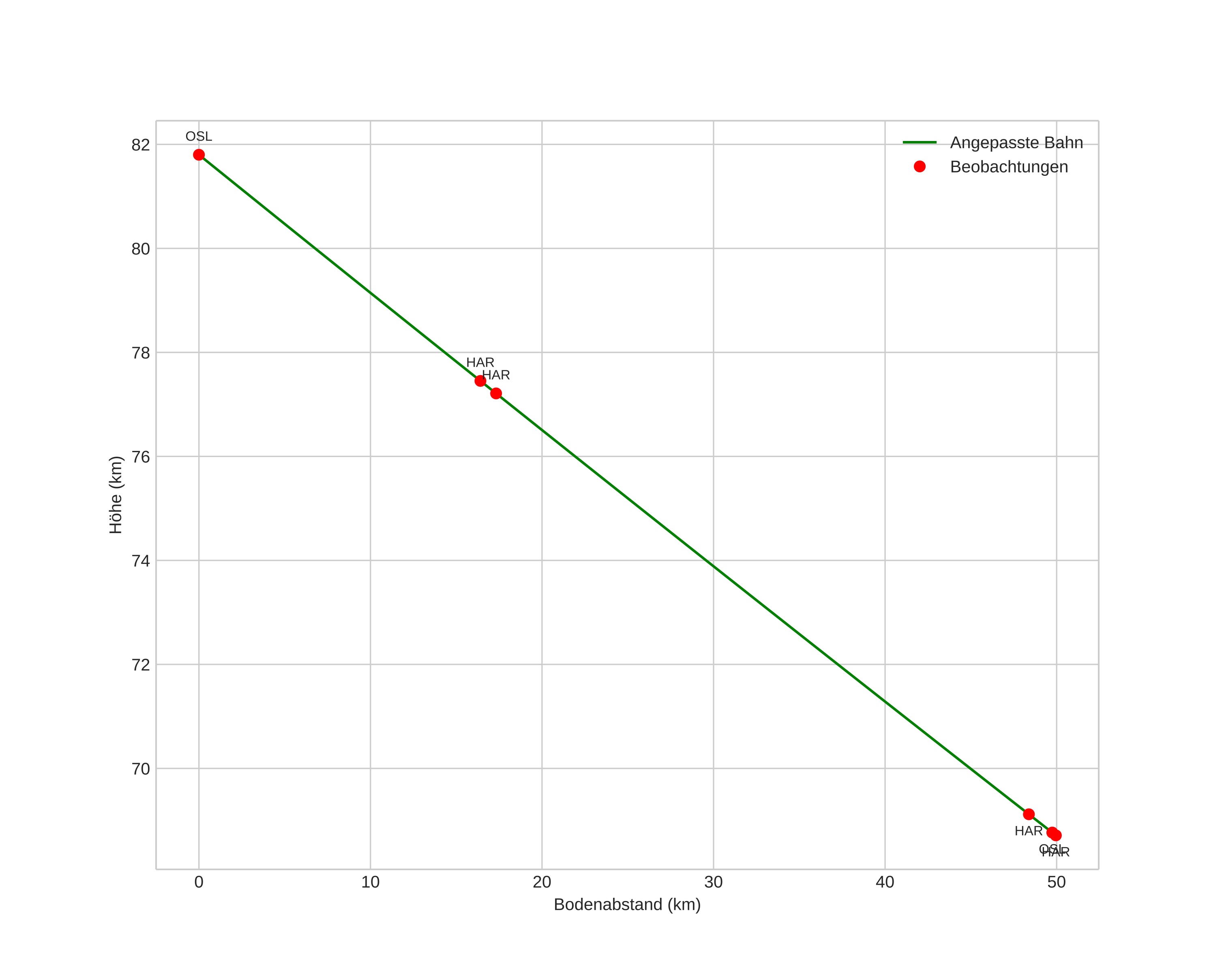
height profile
Atmosphärische Bahn des Meteors:
Anfangshöhe: 81,8 km
Endhöhe: 68,7 km
Startposition: 60,055N 10,190E
Endposition: 60,269N 10,984E
Richtung: 61,2°
Neigungswinkel: 14,7°
Eintrittsgeschwindigkeit: 15,0 km/s
Rektaszension des Radianten: 11:23 (170,9°)
Deklination des Radianten: -15,6°
Meteorstrom: sporadisch
Bahnelemente des Meteoroiden:
Periheldistanz: 0,926 AU
Exzentrizität: 0,486
Inklination: 5,2°
Länge des aufsteigenden Knotens: 208,5°
Argument des Perihels: 40,4°
Mittlere Anomalie: 347,1°
Epoche: 2015 APR 19 01:20:32
orbit plot

Nicht-interaktives Diagramm | Interaktives Diagramm

position vs time
speed and acceleration

Solobservatoriet (HAR) cam2


gnomonic
Videos
• Gnomonisch
• Gnomonisch mit Koordinaten
• Original
• Original mit Koordinaten
Bilder
• Gnomonisch
• Gnomonisch mit Koordinaten
• Original
• Original mit Koordinaten
• Original mit Maske
Textdateien
• Erkennung
• Beobachtung
• Protokoll
Helligkeit

Solobservatoriet (HAR) cam4

fireball
gnomonic
Videos
• Gnomonisch
• Gnomonisch mit Koordinaten
• Original
• Original mit Koordinaten
Bilder
• Gnomonisch
• Gnomonisch mit Koordinaten
• Original
• Original mit Koordinaten
• Original mit Maske
Textdateien
• Erkennung
• Beobachtung
• Protokoll
Helligkeit

Voksenlia (OSL) cam3

fireball
gnomonic
Videos
• Gnomonisch
• Gnomonisch mit Koordinaten
• Original
• Original mit Koordinaten
Bilder
• Gnomonisch
• Gnomonisch mit Koordinaten
• Original
• Original mit Koordinaten
• Original mit Maske
Textdateien
• Erkennung
• Beobachtung
• Koordinaten
• Protokoll
Helligkeit