🇳🇴 🇬🇧 🇩🇪 🇨🇿 🇫🇮

Meteor over Maura 2015-04-19 01:20:32 UTC

KML file  |  Interactive map

The map shows the bearings for the meteor. The lighter lines show the directions from the observation sites at the meteor's appearance, and the darker lines show where it was last seen. The blue arrow indicates the visible path of the meteor.

static map
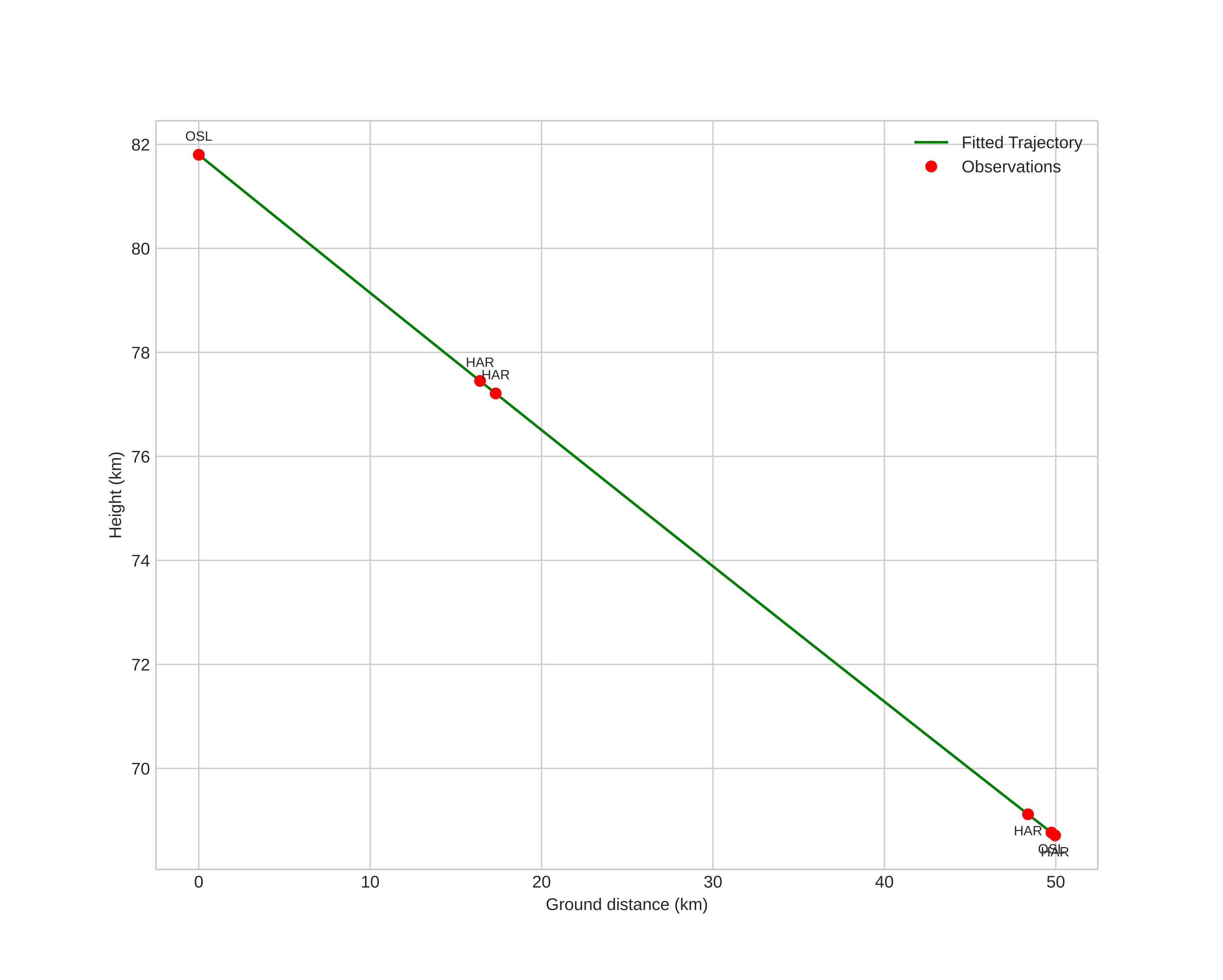
height profile
Meteor's Atmospheric Trajectory:
Start height: 81.8 km
End height: 68.7 km
Start position: 60.055N 10.190E
End position: 60.269N 10.984E
Direction: 61.2°
Inclination angle: 14.7°
Entry speed: 15.0 km/s
Radiant R.A.: 11:23 (170.9°)
Radiant Dec.: -15.6°
Meteor Shower: sporadic
Meteoroid's Orbital Elements:
Perihelion distance: 0.926 AU
Eccentricity: 0.486
Inclination: 5.2°
Long. of Asc. Node: 208.5°
Argument of Perihelion: 40.4°
Mean Anomaly: 347.1°
Epoch: 2015 APR 19 01:20:32
orbit plot

Non-interactive plot | Interactive plot

position vs time
speed and acceleration

Solobservatoriet (HAR) cam2


gnomonic
Videos
• Gnomonic
• Gnomonic with coordinates
• Original
• Original with coordinates
Images
• Gnomonic
• Gnomonic with coordinates
• Original
• Original with coordinates
• Original with mask
Text Files
• Detection
• Observation
• Log
Brightness

Solobservatoriet (HAR) cam4

fireball
gnomonic
Videos
• Gnomonic
• Gnomonic with coordinates
• Original
• Original with coordinates
Images
• Gnomonic
• Gnomonic with coordinates
• Original
• Original with coordinates
• Original with mask
Text Files
• Detection
• Observation
• Log
Brightness

Voksenlia (OSL) cam3

fireball
gnomonic
Videos
• Gnomonic
• Gnomonic with coordinates
• Original
• Original with coordinates
Images
• Gnomonic
• Gnomonic with coordinates
• Original
• Original with coordinates
• Original with mask
Text Files
• Detection
• Observation
• Coordinates
• Log
Brightness