🇳🇴 🇬🇧 🇩🇪 🇨🇿 🇫🇮

Meteor, poloha: Kyrkjebygda 2015-04-26 20:16:50 UTC

Soubor KML  |  Interaktivní mapa

Mapa zobrazuje dráhy meteoru. Světlejší čáry ukazují směry od pozorovacích stanic při objevení se meteoru a tmavší čáry, kde byl naposledy viděn. Modrá šipka značí viditelnou dráhu meteoru.

static map
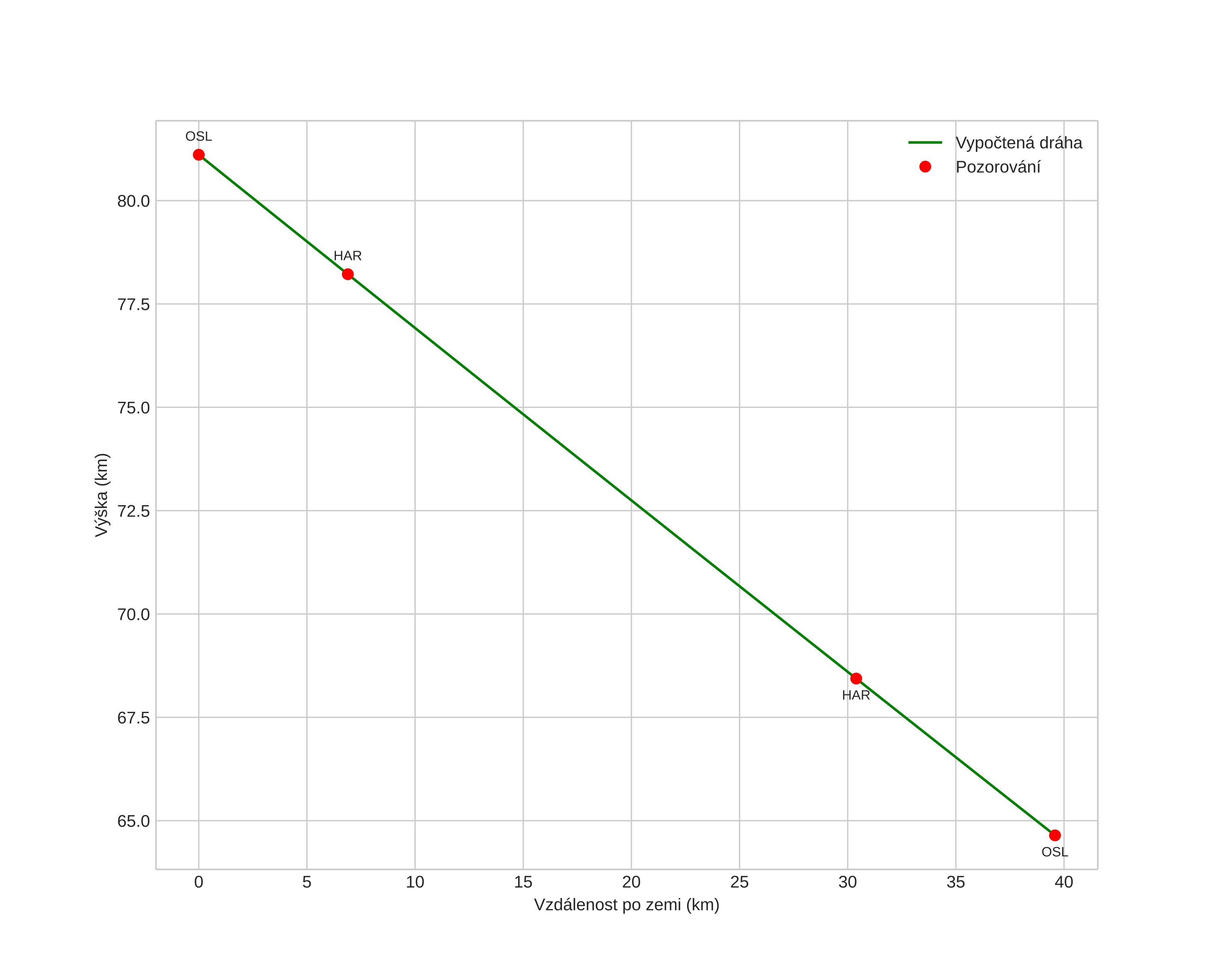
height profile
Atmosférická dráha meteoru:
Počáteční výška: 81,1 km
Konečná výška: 64,6 km
Počáteční poloha: 58,682N 7,996E
Konečná poloha: 58,860N 7,401E
Směr: 300,2°
Sklon: 22,6°
Vstupní rychlost: 24,7 km/s
Rektascenze radiantu: 14:44 (221,2°)
Deklinace radiantu: 1,2°
Meteorický roj: sporadický
Elementy dráhy meteoroidu:
Vzdálenost v periheliu: 0,586 AU
Excentricita: 0,682
Sklon dráhy: 12,0°
Délka vzestupného uzlu: 36,1°
Argument perihelia: 271,8°
Střední anomálie: 340,9°
Epocha: 2015 APR 26 20:16:50
orbit plot

Neinteraktivní graf | Interaktivní graf

position vs time
speed and acceleration