🇳🇴 🇬🇧 🇩🇪 🇨🇿 🇫🇮

Meteor over Kyrkjebygda 2015-04-26 20:16:50 UTC

KML file  |  Interactive map

The map shows the bearings for the meteor. The lighter lines show the directions from the observation sites at the meteor's appearance, and the darker lines show where it was last seen. The blue arrow indicates the visible path of the meteor.

static map
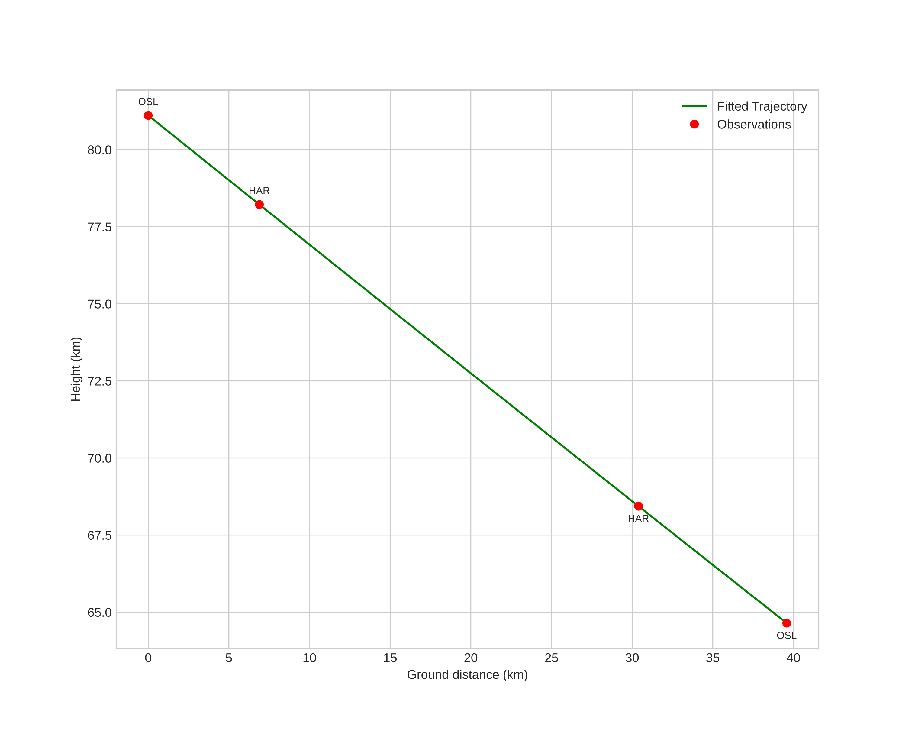
height profile
Meteor's Atmospheric Trajectory:
Start height: 81.1 km
End height: 64.6 km
Start position: 58.682N 7.996E
End position: 58.860N 7.401E
Direction: 300.2°
Inclination angle: 22.6°
Entry speed: 24.7 km/s
Radiant R.A.: 14:44 (221.2°)
Radiant Dec.: 1.2°
Meteor Shower: sporadic
Meteoroid's Orbital Elements:
Perihelion distance: 0.586 AU
Eccentricity: 0.682
Inclination: 12.0°
Long. of Asc. Node: 36.1°
Argument of Perihelion: 271.8°
Mean Anomaly: 340.9°
Epoch: 2015 APR 26 20:16:50
orbit plot

Non-interactive plot | Interactive plot

position vs time
speed and acceleration

Solobservatoriet (HAR) cam4

fireball
gnomonic
Videos
• Gnomonic
• Gnomonic with coordinates
• Original
• Original with coordinates
Images
• Gnomonic
• Gnomonic with coordinates
• Original
• Original with coordinates
• Original with mask
Text Files
• Detection
• Observation
• Log
Brightness

Voksenlia (OSL) cam1

fireball
gnomonic
Videos
• Gnomonic
• Gnomonic with coordinates
• Original
• Original with coordinates
Images
• Gnomonic
• Gnomonic with coordinates
• Original
• Original with coordinates
• Original with mask
Text Files
• Detection
• Observation
• Coordinates
• Log
Brightness