🇳🇴 🇬🇧 🇩🇪 🇨🇿 🇫🇮

Meteor, poloha: Ă…rdalstangen 2015-08-21 22:28:07 UTC

Soubor KML  |  InteraktivnĂ­ mapa

Mapa zobrazuje dráhy meteoru. Světlejší čáry ukazují směry od pozorovacích stanic při objevení se meteoru a tmavší čáry, kde byl naposledy viděn. Modrá šipka značí viditelnou dráhu meteoru.

static map
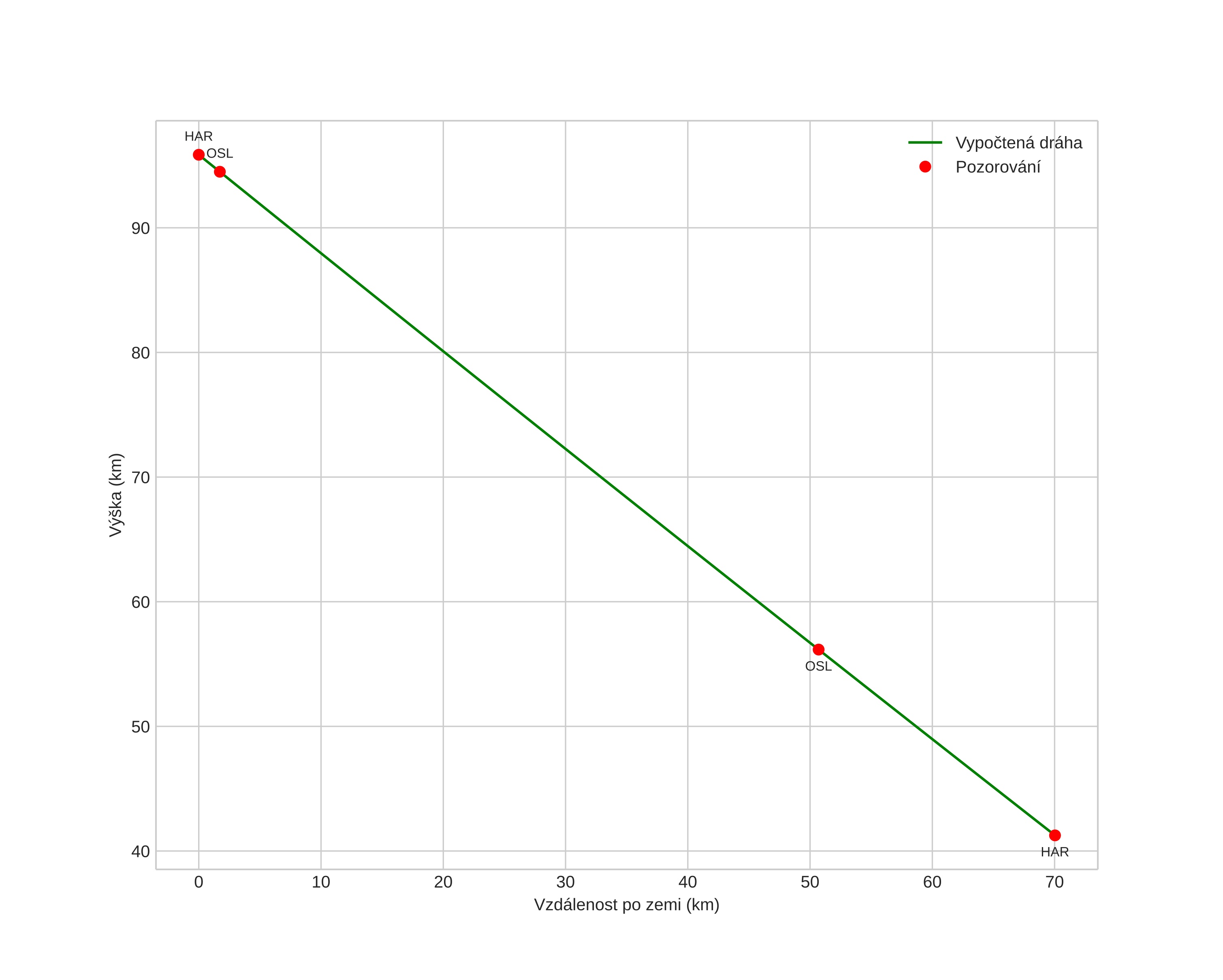
height profile
Atmosférická dráha meteoru:
Počáteční výška: 95,9 km
Konečná výška: 41,3 km
Počáteční poloha: 60,539N 7,968E
Konečná poloha: 61,146N 7,626E
Směr: 344,8°
Sklon: 37,9°
VstupnĂ­ rychlost: 25,7 km/s
Rektascenze radiantu: 21:46 (326,6°)
Deklinace radiantu: 6,3°
MeteorickĂ˝ roj: sporadickĂ˝
Elementy dráhy meteoroidu:
Vzdálenost v periheliu: 0,569 AU
Excentricita: 0,744
Sklon dráhy: 14,5°
Délka vzestupného uzlu: 148,3°
Argument perihelia: 271,5°
Střední anomálie: 346,1°
Epocha: 2015 AUG 21 22:28:07
orbit plot

NeinteraktivnĂ­ graf | InteraktivnĂ­ graf

position vs time
speed and acceleration