🇳🇴 🇬🇧 🇩🇪 🇨🇿 🇫🇮

Meteor Årdalstangenin yllä 2015-08-21 22:28:07 UTC

KML-tiedosto  |  Interaktiivinen kartta

Kartta näyttää meteorin suuntahavainnot. Vaaleammat viivat näyttävät suunnat havaintoasemilta meteorin ilmestyessä, ja tummemmat viivat näyttävät, missä se viimeksi nähtiin. Sininen nuoli näyttää meteorin näkyvän lennon.

static map
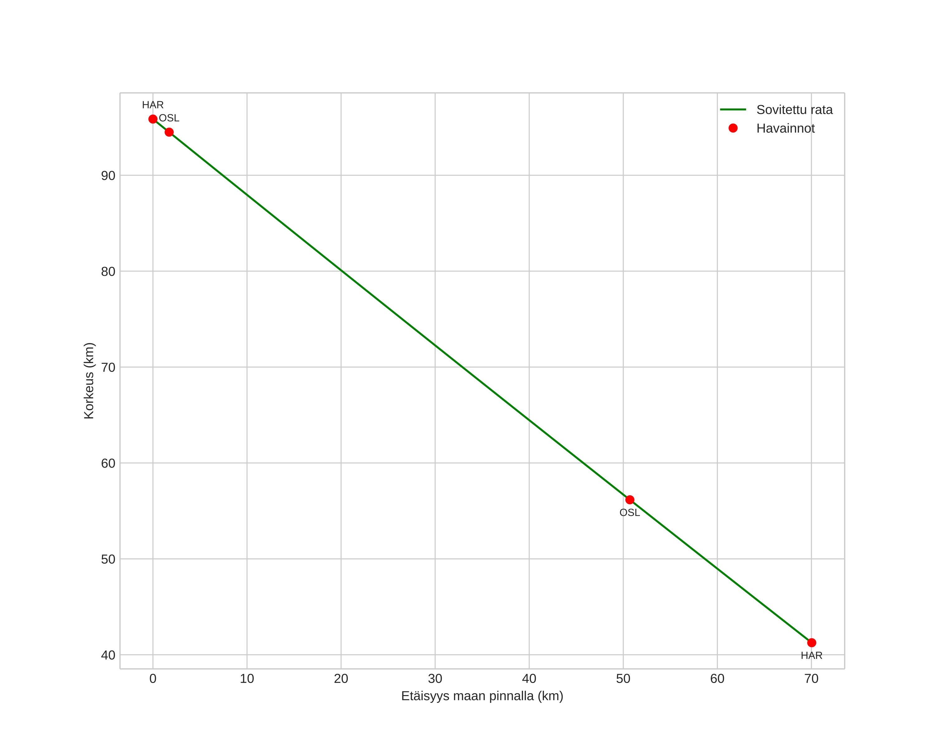
height profile
Meteorin ilmakehärata:
Alkukorkeus: 95,9 km
Loppukorkeus: 41,3 km
Alkupiste: 60,539N 7,968E
Loppupiste: 61,146N 7,626E
Suunta: 344,8°
Kallistuskulma: 37,9°
Tulonopeus: 25,7 km/s
Radiantin R,A,: 21:46 (326,6°)
Radiantin Dekl,: 6,3°
Meteoriparvi: Sporadinen
Meteoroidin rataelementit:
Perihelietäisyys: 0,569 AU
Eksentrisyys: 0,744
Inklinaatio: 14,5°
Nousevan solmun pituus: 148,3°
Perihelin argumentti: 271,5°
Keskianomalia: 346,1°
Epookki: 2015 AUG 21 22:28:07
orbit plot

Ei-interaktiivinen kuvaaja | Interaktiivinen kuvaaja

position vs time
speed and acceleration