🇳🇴 🇬🇧 🇩🇪 🇨🇿 🇫🇮

Meteor, poloha: Fagernes 2015-08-27 21:12:24 UTC

Soubor KML  |  InteraktivnĂ­ mapa

Mapa zobrazuje dráhy meteoru. Světlejší čáry ukazují směry od pozorovacích stanic při objevení se meteoru a tmavší čáry, kde byl naposledy viděn. Modrá šipka značí viditelnou dráhu meteoru.

static map
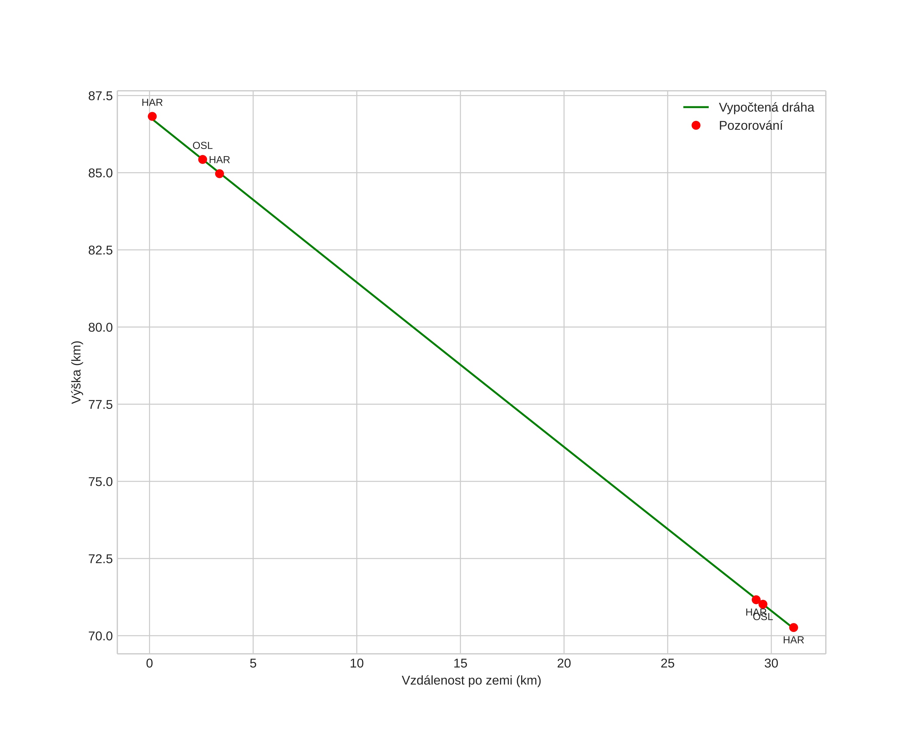
height profile
Atmosférická dráha meteoru:
Počáteční výška: 86,8 km
Konečná výška: 70,2 km
Počáteční poloha: 60,860N 9,732E
Konečná poloha: 61,111N 9,478E
Směr: 334,0°
Sklon: 28,1°
VstupnĂ­ rychlost: 23,2 km/s
Rektascenze radiantu: 21:45 (326,5°)
Deklinace radiantu: -3,0°
MeteorickĂ˝ roj: sporadickĂ˝
Elementy dráhy meteoroidu:
Vzdálenost v periheliu: 0,668 AU
Excentricita: 0,751
Sklon dráhy: 6,2°
Délka vzestupného uzlu: 154,1°
Argument perihelia: 257,9°
Střední anomálie: 350,1°
Epocha: 2015 AUG 27 21:12:24
orbit plot

NeinteraktivnĂ­ graf | InteraktivnĂ­ graf

position vs time
speed and acceleration