🇳🇴 🇬🇧 🇩🇪 🇨🇿 🇫🇮

Meteor Fagernesin yllä 2015-08-27 21:12:24 UTC

KML-tiedosto  |  Interaktiivinen kartta

Kartta näyttää meteorin suuntahavainnot. Vaaleammat viivat näyttävät suunnat havaintoasemilta meteorin ilmestyessä, ja tummemmat viivat näyttävät, missä se viimeksi nähtiin. Sininen nuoli näyttää meteorin näkyvän lennon.

static map
height profile
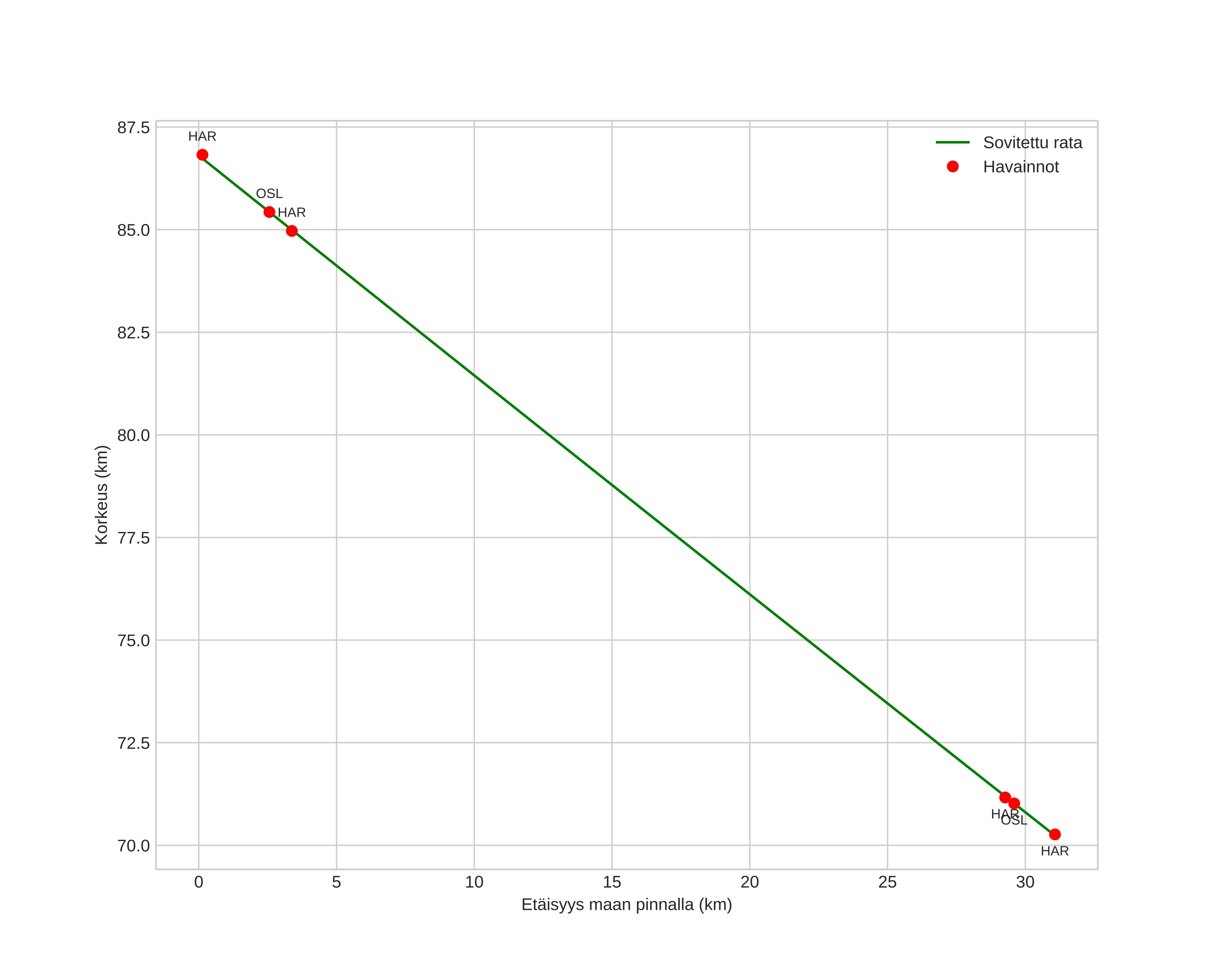
Meteorin ilmakehärata:
Alkukorkeus: 86,8 km
Loppukorkeus: 70,2 km
Alkupiste: 60,860N 9,732E
Loppupiste: 61,111N 9,478E
Suunta: 334,0°
Kallistuskulma: 28,1°
Tulonopeus: 23,2 km/s
Radiantin R,A,: 21:45 (326,5°)
Radiantin Dekl,: -3,0°
Meteoriparvi: Sporadinen
Meteoroidin rataelementit:
Perihelietäisyys: 0,668 AU
Eksentrisyys: 0,751
Inklinaatio: 6,2°
Nousevan solmun pituus: 154,1°
Perihelin argumentti: 257,9°
Keskianomalia: 350,1°
Epookki: 2015 AUG 27 21:12:24
orbit plot

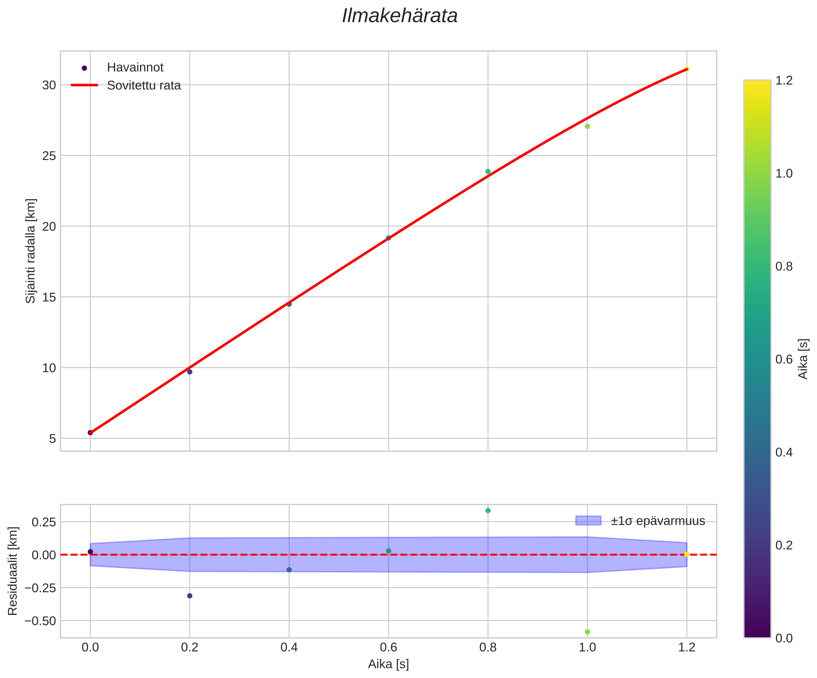
Ei-interaktiivinen kuvaaja | Interaktiivinen kuvaaja

position vs time
speed and acceleration