🇳🇴 🇬🇧 🇩🇪 🇨🇿 🇫🇮

Meteor, poloha: Bagn 2015-09-10 23:13:27 UTC

Soubor KML  |  InteraktivnĂ­ mapa

Mapa zobrazuje dráhy meteoru. Světlejší čáry ukazují směry od pozorovacích stanic při objevení se meteoru a tmavší čáry, kde byl naposledy viděn. Modrá šipka značí viditelnou dráhu meteoru.

static map
height profile
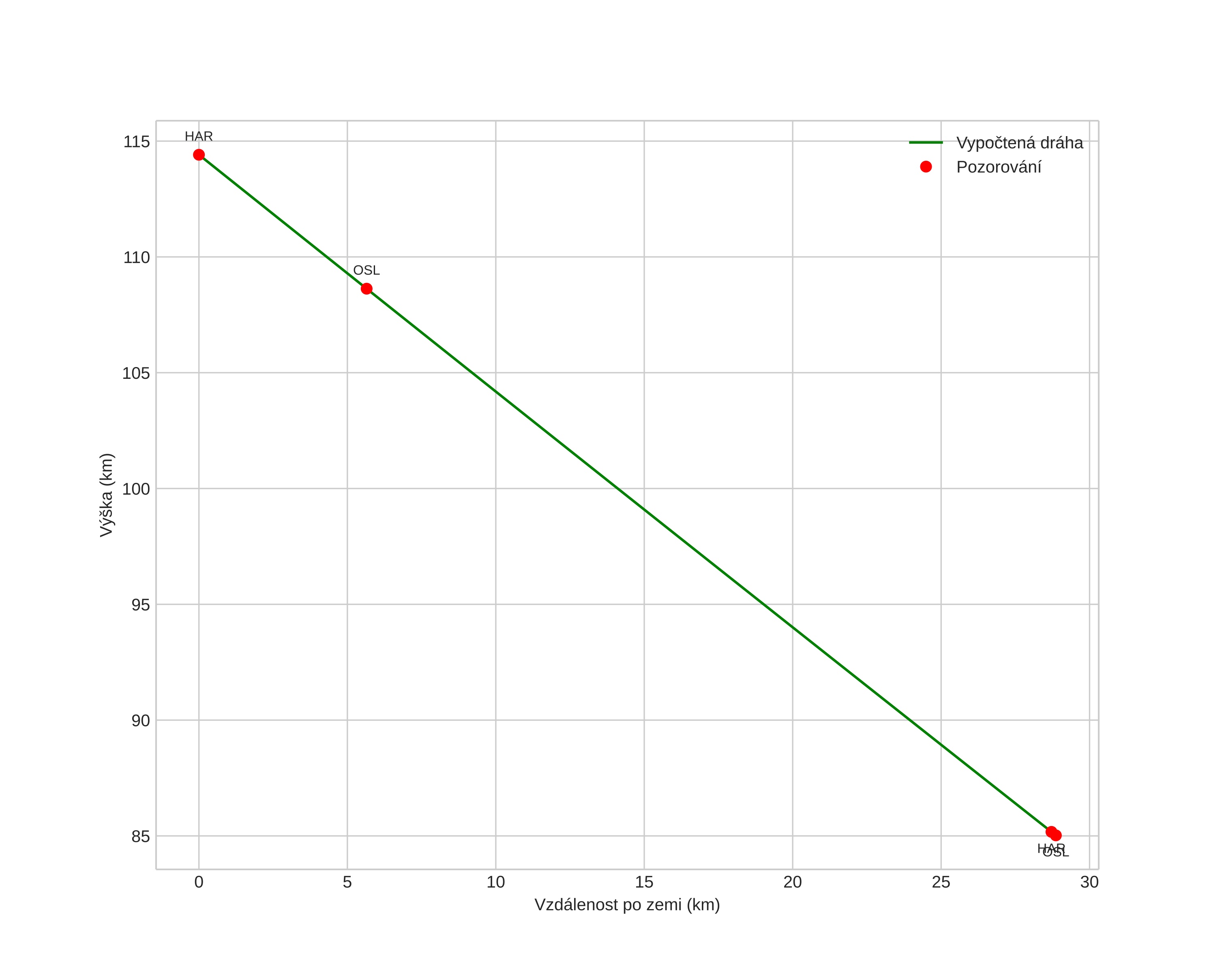
Atmosférická dráha meteoru:
Počáteční výška: 114,4 km
Konečná výška: 85,0 km
Počáteční poloha: 60,888N 10,039E
Konečná poloha: 60,830N 9,520E
Směr: 257,3°
Sklon: 45,5°
VstupnĂ­ rychlost: 70,1 km/s
Rektascenze radiantu: 04:02 (60,5°)
Deklinace radiantu: 44,1°
MeteorickĂ˝ roj: sporadickĂ˝
Elementy dráhy meteoroidu:
Vzdálenost v periheliu: 0,942 AU
Excentricita: 1,204
Sklon dráhy: 140,8°
Délka vzestupného uzlu: 167,7°
Argument perihelia: 208,2°
Střední anomálie: -1,8°
Epocha: 2015 SEP 10 23:13:27
orbit plot

NeinteraktivnĂ­ graf | InteraktivnĂ­ graf

position vs time
speed and acceleration