🇳🇴 🇬🇧 🇩🇪 🇨🇿 🇫🇮

Meteor, poloha: Slidre 2015-09-27 22:18:40 UTC

Soubor KML  |  InteraktivnĂ­ mapa

Mapa zobrazuje dráhy meteoru. Světlejší čáry ukazují směry od pozorovacích stanic při objevení se meteoru a tmavší čáry, kde byl naposledy viděn. Modrá šipka značí viditelnou dráhu meteoru.

static map
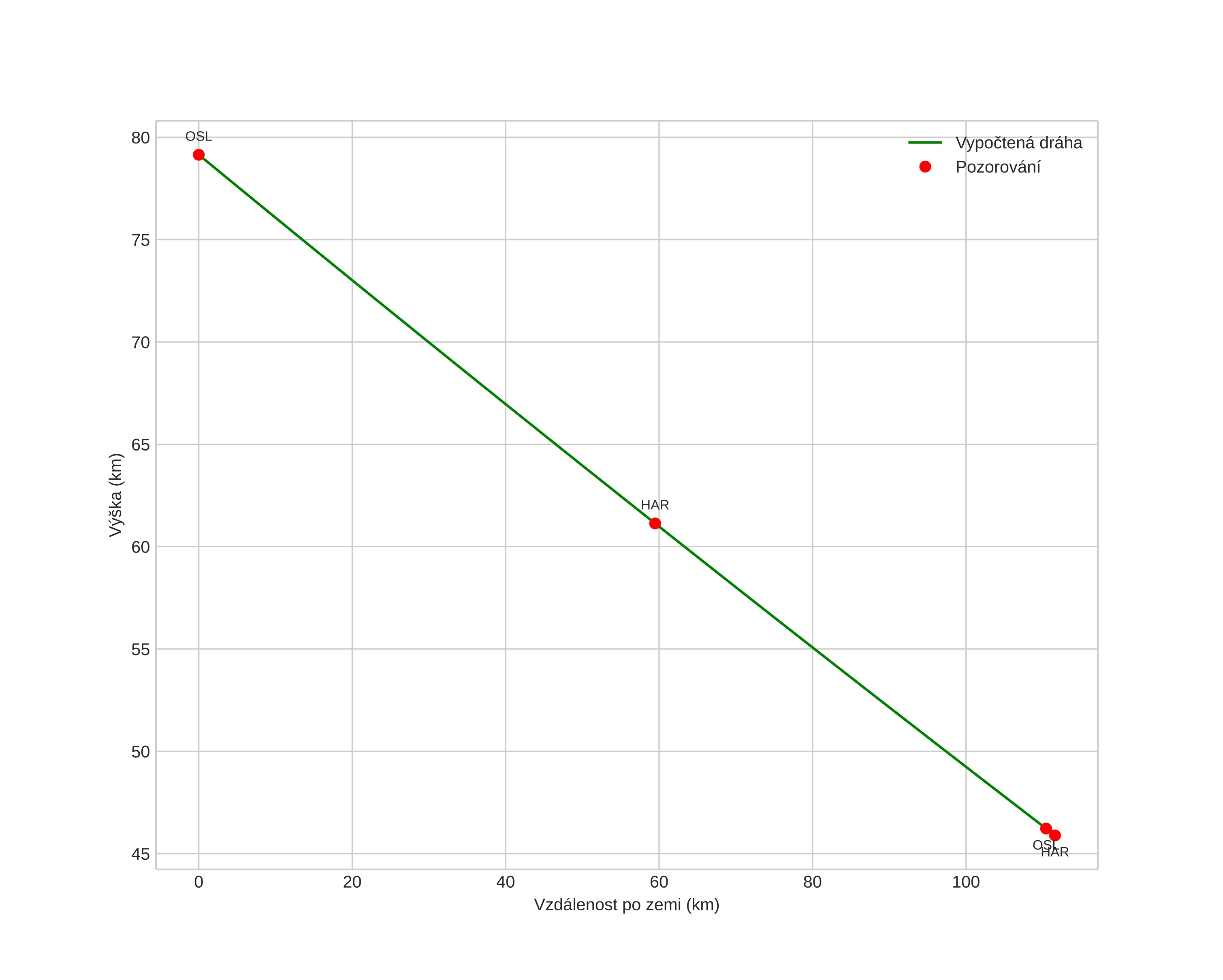
height profile
Atmosférická dráha meteoru:
Počáteční výška: 79,1 km
Konečná výška: 45,9 km
Počáteční poloha: 60,796N 6,965E
Konečná poloha: 60,940N 9,006E
Směr: 80,8°
Sklon: 16,6°
VstupnĂ­ rychlost: 12,3 km/s
Rektascenze radiantu: 17:13 (258,4°)
Deklinace radiantu: -16,8°
MeteorickĂ˝ roj: sporadickĂ˝
Elementy dráhy meteoroidu:
Vzdálenost v periheliu: 1,001 AU
Excentricita: 0,410
Sklon dráhy: 1,0°
Délka vzestupného uzlu: 184,3°
Argument perihelia: 174,1°
Střední anomálie: 2,2°
Epocha: 2015 SEP 27 22:18:40
orbit plot

NeinteraktivnĂ­ graf | InteraktivnĂ­ graf

position vs time
speed and acceleration