🇳🇴 🇬🇧 🇩🇪 🇨🇿 🇫🇮

Meteor Slidren yllä 2015-09-27 22:18:40 UTC

KML-tiedosto  |  Interaktiivinen kartta

Kartta näyttää meteorin suuntahavainnot. Vaaleammat viivat näyttävät suunnat havaintoasemilta meteorin ilmestyessä, ja tummemmat viivat näyttävät, missä se viimeksi nähtiin. Sininen nuoli näyttää meteorin näkyvän lennon.

static map
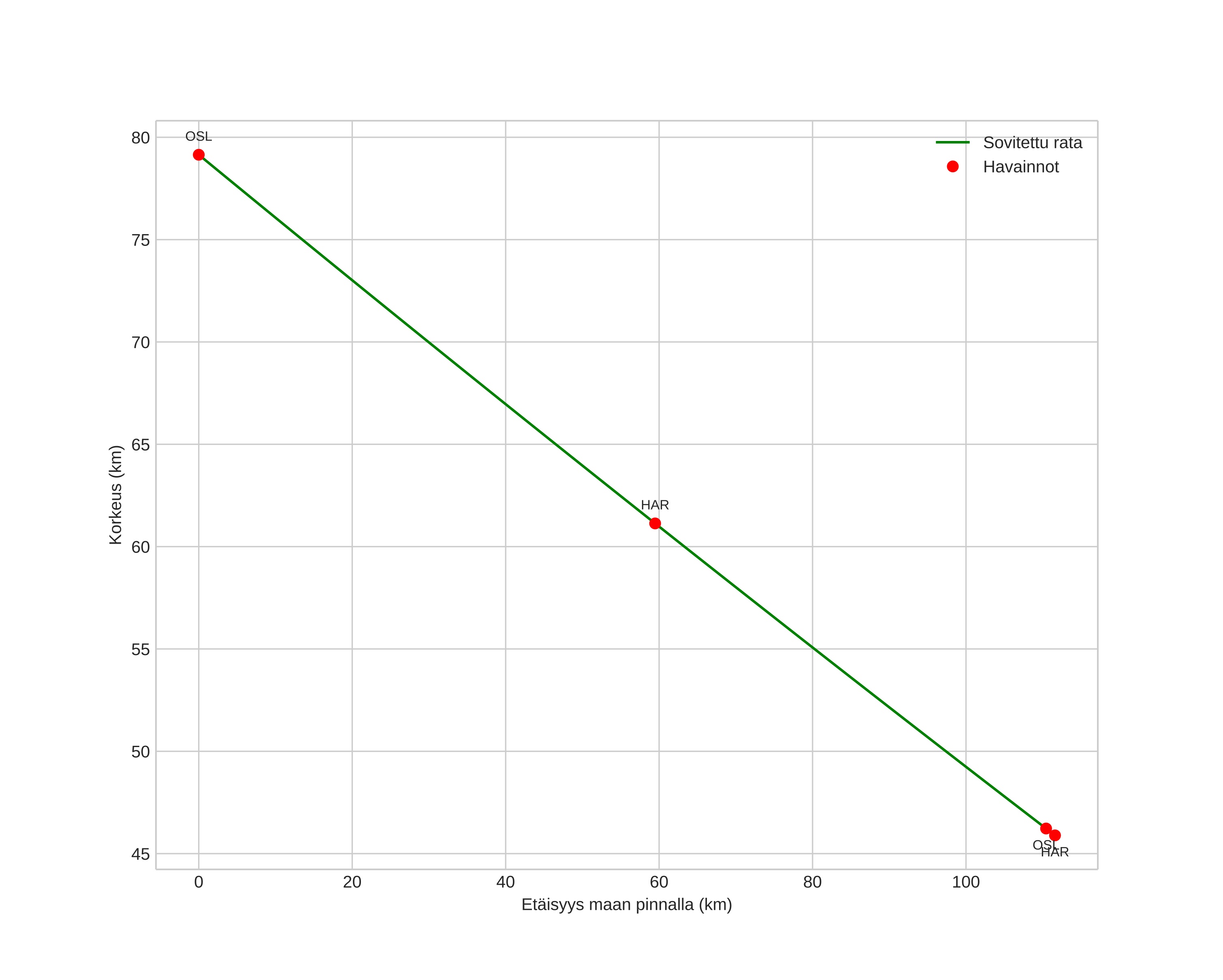
height profile
Meteorin ilmakehärata:
Alkukorkeus: 79,1 km
Loppukorkeus: 45,9 km
Alkupiste: 60,796N 6,965E
Loppupiste: 60,940N 9,006E
Suunta: 80,8°
Kallistuskulma: 16,6°
Tulonopeus: 12,3 km/s
Radiantin R,A,: 17:13 (258,4°)
Radiantin Dekl,: -16,8°
Meteoriparvi: Sporadinen
Meteoroidin rataelementit:
Perihelietäisyys: 1,001 AU
Eksentrisyys: 0,410
Inklinaatio: 1,0°
Nousevan solmun pituus: 184,3°
Perihelin argumentti: 174,1°
Keskianomalia: 2,2°
Epookki: 2015 SEP 27 22:18:40
orbit plot

Ei-interaktiivinen kuvaaja | Interaktiivinen kuvaaja

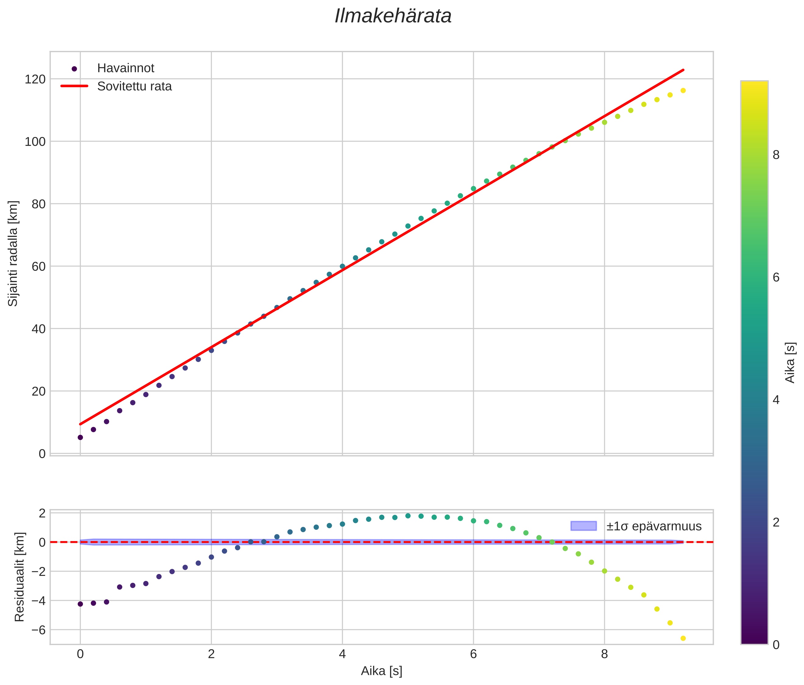
position vs time
speed and acceleration