🇳🇴 🇬🇧 🇩🇪 🇨🇿 🇫🇮

Meteor, poloha: Lillehammer 2015-09-29 20:33:17 UTC

Soubor KML  |  InteraktivnĂ­ mapa

Mapa zobrazuje dráhy meteoru. Světlejší čáry ukazují směry od pozorovacích stanic při objevení se meteoru a tmavší čáry, kde byl naposledy viděn. Modrá šipka značí viditelnou dráhu meteoru.

static map
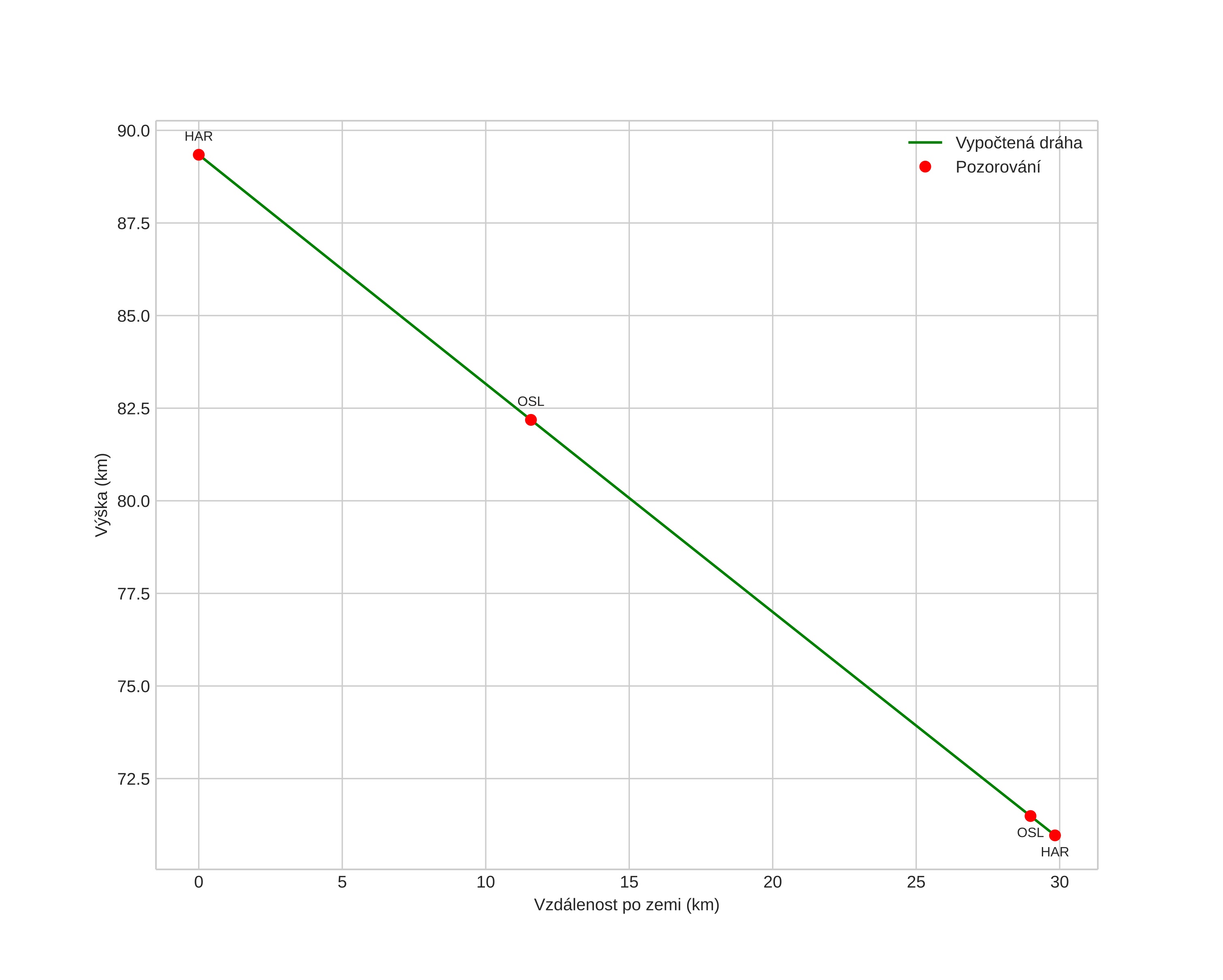
height profile
Atmosférická dráha meteoru:
Počáteční výška: 89,3 km
Konečná výška: 71,0 km
Počáteční poloha: 60,735N 10,221E
Konečná poloha: 61,001N 10,301E
Směr: 8,4°
Sklon: 31,5°
VstupnĂ­ rychlost: 16,3 km/s
Rektascenze radiantu: 21:11 (317,8°)
Deklinace radiantu: -7,5°
MeteorickĂ˝ roj: sporadickĂ˝
Elementy dráhy meteoroidu:
Vzdálenost v periheliu: 0,950 AU
Excentricita: 0,770
Sklon dráhy: 2,6°
Délka vzestupného uzlu: 186,2°
Argument perihelia: 208,2°
Střední anomálie: 357,6°
Epocha: 2015 SEP 29 20:33:17
orbit plot

NeinteraktivnĂ­ graf | InteraktivnĂ­ graf

position vs time
speed and acceleration