🇳🇴 🇬🇧 🇩🇪 🇨🇿 🇫🇮

Meteor Lillehammerin yllä 2015-09-29 20:33:17 UTC

KML-tiedosto  |  Interaktiivinen kartta

Kartta näyttää meteorin suuntahavainnot. Vaaleammat viivat näyttävät suunnat havaintoasemilta meteorin ilmestyessä, ja tummemmat viivat näyttävät, missä se viimeksi nähtiin. Sininen nuoli näyttää meteorin näkyvän lennon.

static map
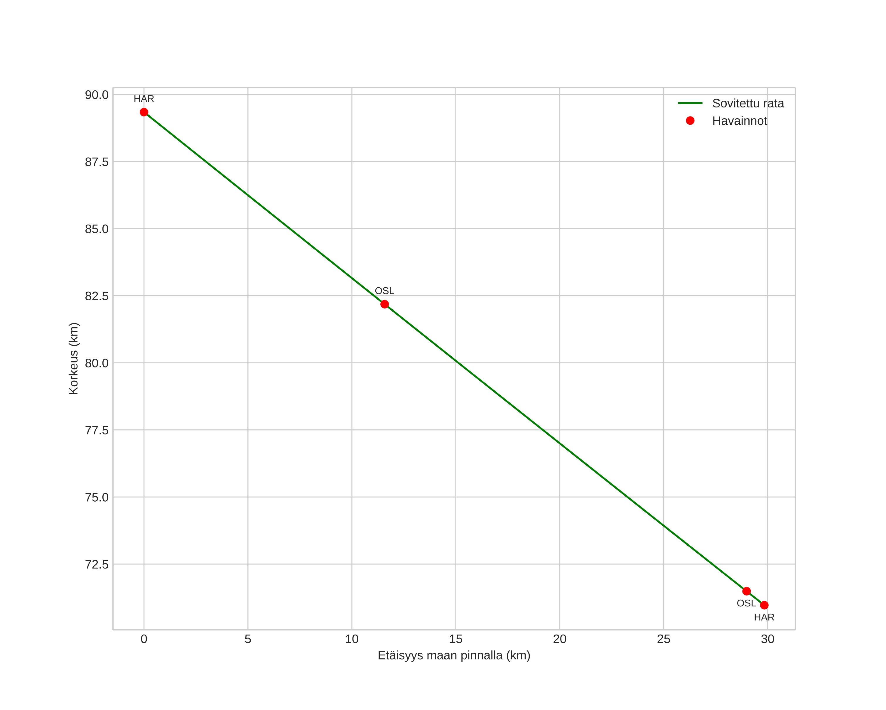
height profile
Meteorin ilmakehärata:
Alkukorkeus: 89,3 km
Loppukorkeus: 71,0 km
Alkupiste: 60,735N 10,221E
Loppupiste: 61,001N 10,301E
Suunta: 8,4°
Kallistuskulma: 31,5°
Tulonopeus: 16,3 km/s
Radiantin R,A,: 21:11 (317,8°)
Radiantin Dekl,: -7,5°
Meteoriparvi: Sporadinen
Meteoroidin rataelementit:
Perihelietäisyys: 0,950 AU
Eksentrisyys: 0,770
Inklinaatio: 2,6°
Nousevan solmun pituus: 186,2°
Perihelin argumentti: 208,2°
Keskianomalia: 357,6°
Epookki: 2015 SEP 29 20:33:17
orbit plot

Ei-interaktiivinen kuvaaja | Interaktiivinen kuvaaja

position vs time
speed and acceleration