🇳🇴 🇬🇧 🇩🇪 🇨🇿 🇫🇮

Meteor, poloha: Noresund 2015-09-29 22:49:46 UTC

Soubor KML  |  InteraktivnĂ­ mapa

Mapa zobrazuje dráhy meteoru. Světlejší čáry ukazují směry od pozorovacích stanic při objevení se meteoru a tmavší čáry, kde byl naposledy viděn. Modrá šipka značí viditelnou dráhu meteoru.

static map
height profile
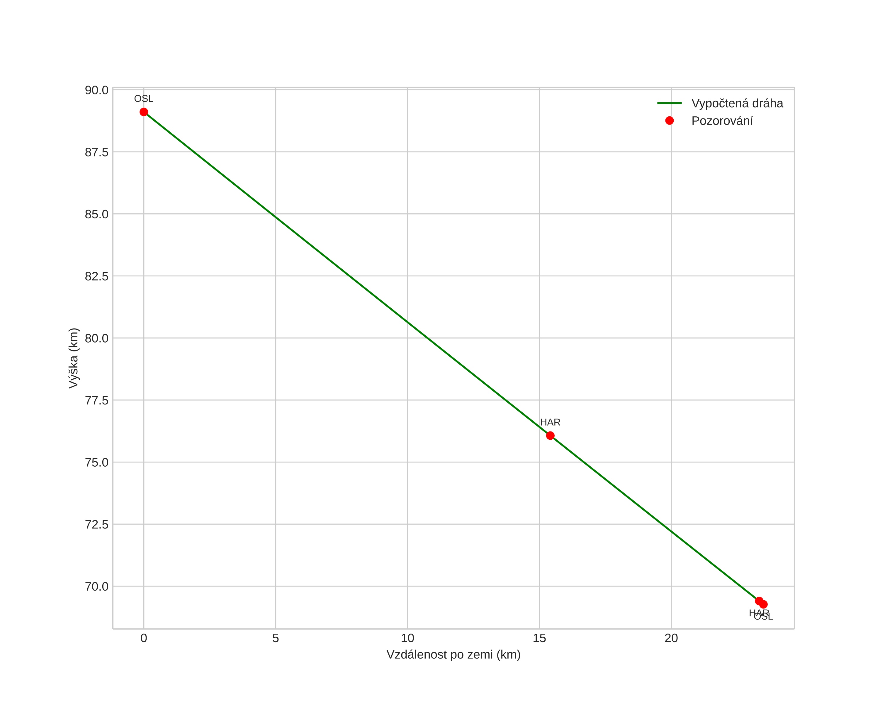
Atmosférická dráha meteoru:
Počáteční výška: 89,1 km
Konečná výška: 69,3 km
Počáteční poloha: 59,965N 9,644E
Konečná poloha: 60,154N 9,456E
Směr: 333,6°
Sklon: 40,1°
VstupnĂ­ rychlost: 32,4 km/s
Rektascenze radiantu: 01:21 (20,5°)
Deklinace radiantu: 10,7°
MeteorickĂ˝ roj: JiĹľnĂ­ Tauridy
Elementy dráhy meteoroidu:
Vzdálenost v periheliu: 0,269 AU
Excentricita: 0,861
Sklon dráhy: 2,7°
Délka vzestupného uzlu: 186,2°
Argument perihelia: 305,5°
Střední anomálie: 345,0°
Epocha: 2015 SEP 29 22:49:46
orbit plot

NeinteraktivnĂ­ graf | InteraktivnĂ­ graf

position vs time
speed and acceleration