🇳🇴 🇬🇧 🇩🇪 🇨🇿 🇫🇮

Meteor Noresundin yllä 2015-09-29 22:49:46 UTC

KML-tiedosto  |  Interaktiivinen kartta

Kartta näyttää meteorin suuntahavainnot. Vaaleammat viivat näyttävät suunnat havaintoasemilta meteorin ilmestyessä, ja tummemmat viivat näyttävät, missä se viimeksi nähtiin. Sininen nuoli näyttää meteorin näkyvän lennon.

static map
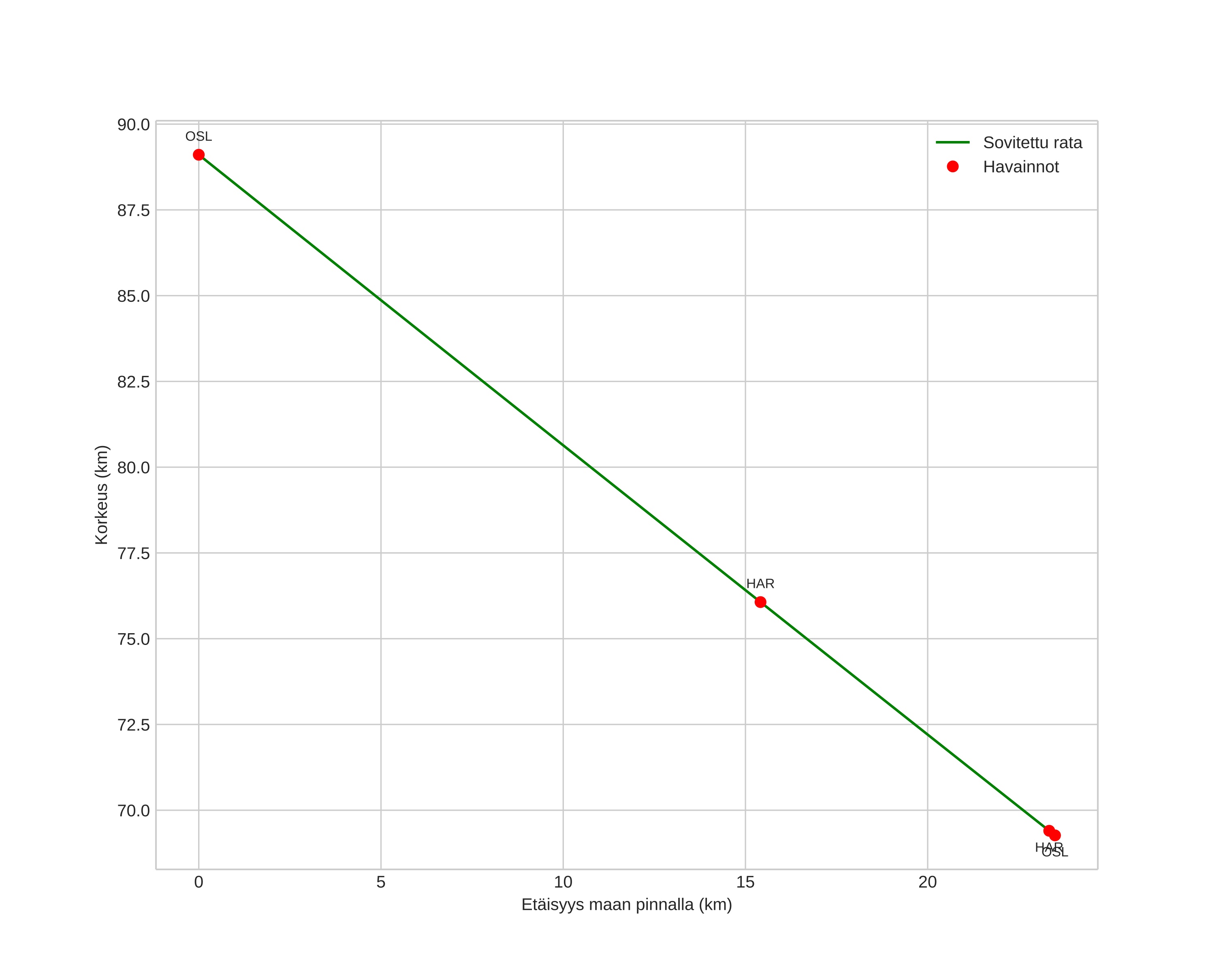
height profile
Meteorin ilmakehärata:
Alkukorkeus: 89,1 km
Loppukorkeus: 69,3 km
Alkupiste: 59,965N 9,644E
Loppupiste: 60,154N 9,456E
Suunta: 333,6°
Kallistuskulma: 40,1°
Tulonopeus: 32,4 km/s
Radiantin R,A,: 01:21 (20,5°)
Radiantin Dekl,: 10,7°
Meteoriparvi: Eteläiset tauridit
Meteoroidin rataelementit:
Perihelietäisyys: 0,269 AU
Eksentrisyys: 0,861
Inklinaatio: 2,7°
Nousevan solmun pituus: 186,2°
Perihelin argumentti: 305,5°
Keskianomalia: 345,0°
Epookki: 2015 SEP 29 22:49:46
orbit plot

Ei-interaktiivinen kuvaaja | Interaktiivinen kuvaaja

position vs time
speed and acceleration