🇳🇴 🇬🇧 🇩🇪 🇨🇿 🇫🇮

Meteor, poloha: Tau 2015-10-13 19:16:47 UTC

Soubor KML  |  InteraktivnĂ­ mapa

Mapa zobrazuje dráhy meteoru. Světlejší čáry ukazují směry od pozorovacích stanic při objevení se meteoru a tmavší čáry, kde byl naposledy viděn. Modrá šipka značí viditelnou dráhu meteoru.

static map
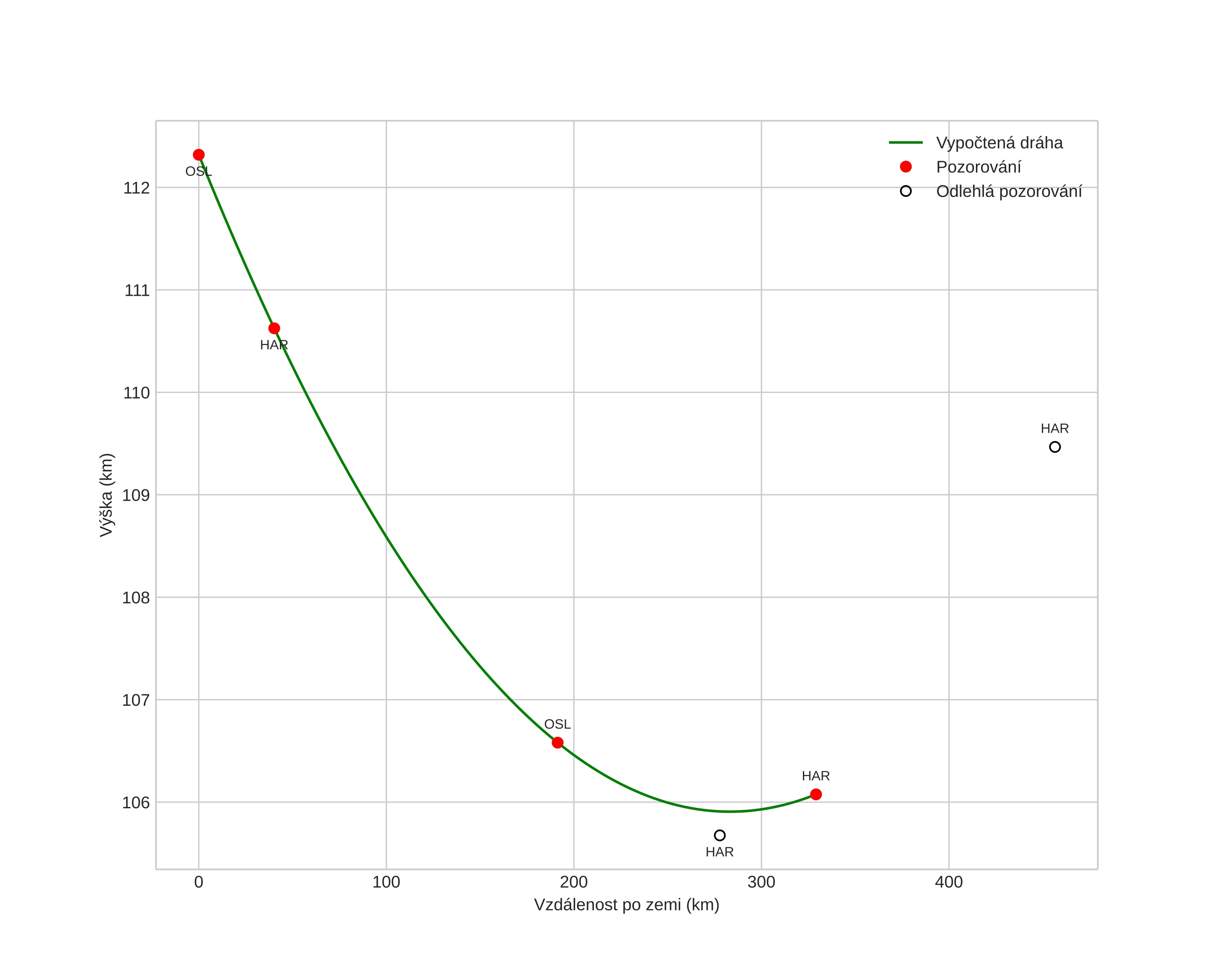
height profile
Atmosférická dráha meteoru:
Počáteční výška: 106,1 km
Konečná výška: 112,3 km
Počáteční poloha: 61,374N 9,734E
Konečná poloha: 59,077N 5,972E
Směr: 220,8°
Sklon: -1,1°
VstupnĂ­ rychlost: 72,1 km/s
Rektascenze radiantu: 06:27 (96,9°)
Deklinace radiantu: 19,6°
MeteorickĂ˝ roj: Orionidy
Elementy dráhy meteoroidu:
Vzdálenost v periheliu: 0,848 AU
Excentricita: 1,062
Sklon dráhy: 173,4°
Délka vzestupného uzlu: 19,9°
Argument perihelia: 44,9°
Střední anomálie: -0,5°
Epocha: 2015 OCT 13 19:16:47
orbit plot

NeinteraktivnĂ­ graf | InteraktivnĂ­ graf

position vs time
speed and acceleration