🇳🇴 🇬🇧 🇩🇪 🇨🇿 🇫🇮

Meteor Taun yllä 2015-10-13 19:16:47 UTC

KML-tiedosto  |  Interaktiivinen kartta

Kartta näyttää meteorin suuntahavainnot. Vaaleammat viivat näyttävät suunnat havaintoasemilta meteorin ilmestyessä, ja tummemmat viivat näyttävät, missä se viimeksi nähtiin. Sininen nuoli näyttää meteorin näkyvän lennon.

static map
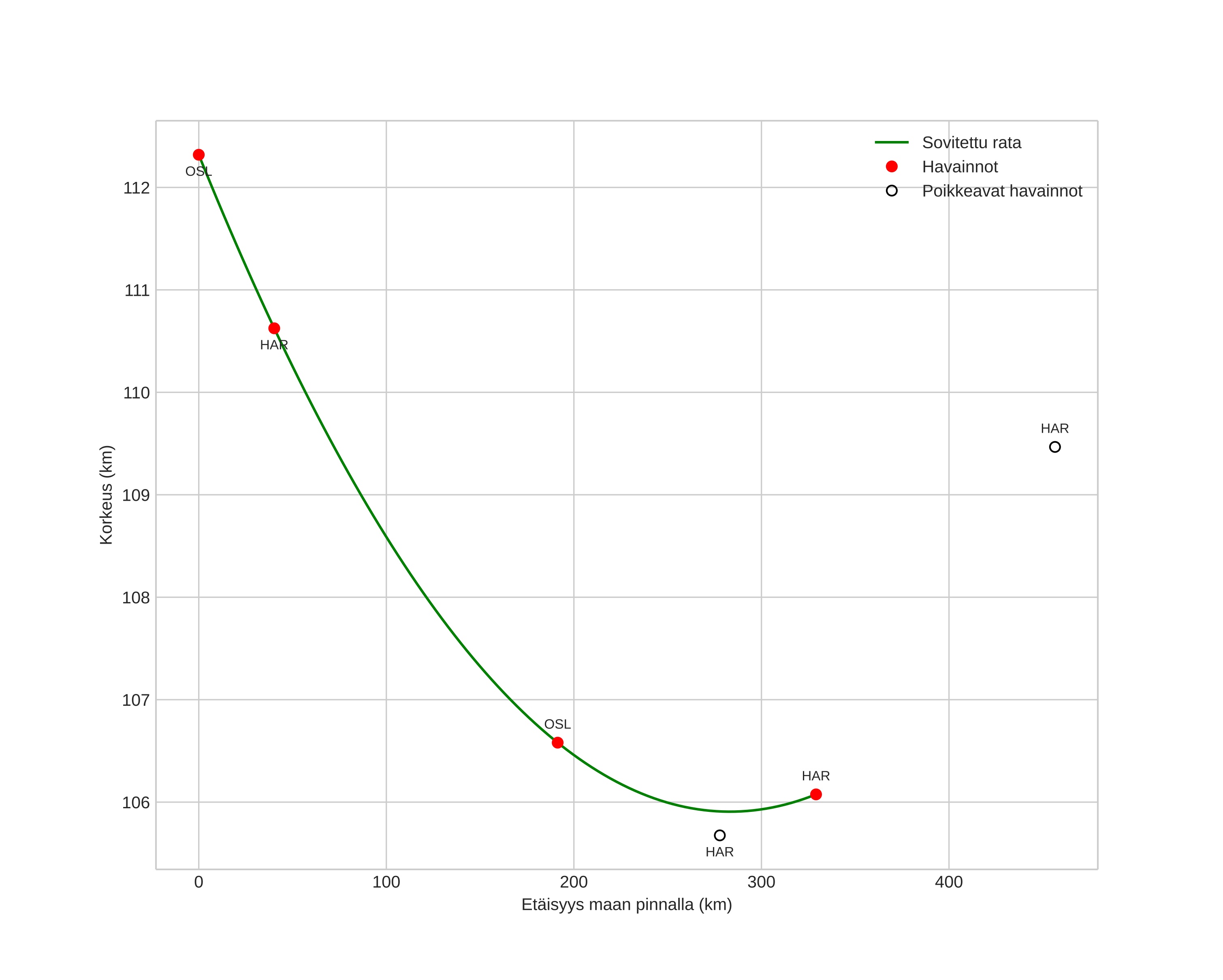
height profile
Meteorin ilmakehärata:
Alkukorkeus: 106,1 km
Loppukorkeus: 112,3 km
Alkupiste: 61,374N 9,734E
Loppupiste: 59,077N 5,972E
Suunta: 220,8°
Kallistuskulma: -1,1°
Tulonopeus: 72,1 km/s
Radiantin R,A,: 06:27 (96,9°)
Radiantin Dekl,: 19,6°
Meteoriparvi: Orionidit
Meteoroidin rataelementit:
Perihelietäisyys: 0,848 AU
Eksentrisyys: 1,062
Inklinaatio: 173,4°
Nousevan solmun pituus: 19,9°
Perihelin argumentti: 44,9°
Keskianomalia: -0,5°
Epookki: 2015 OCT 13 19:16:47
orbit plot

Ei-interaktiivinen kuvaaja | Interaktiivinen kuvaaja

position vs time
speed and acceleration