🇳🇴 🇬🇧 🇩🇪 🇨🇿 🇫🇮

Meteor, poloha: Florø 2015-10-14 03:31:12 UTC

Soubor KML  |  InteraktivnĂ­ mapa

Mapa zobrazuje dráhy meteoru. Světlejší čáry ukazují směry od pozorovacích stanic při objevení se meteoru a tmavší čáry, kde byl naposledy viděn. Modrá šipka značí viditelnou dráhu meteoru.

static map
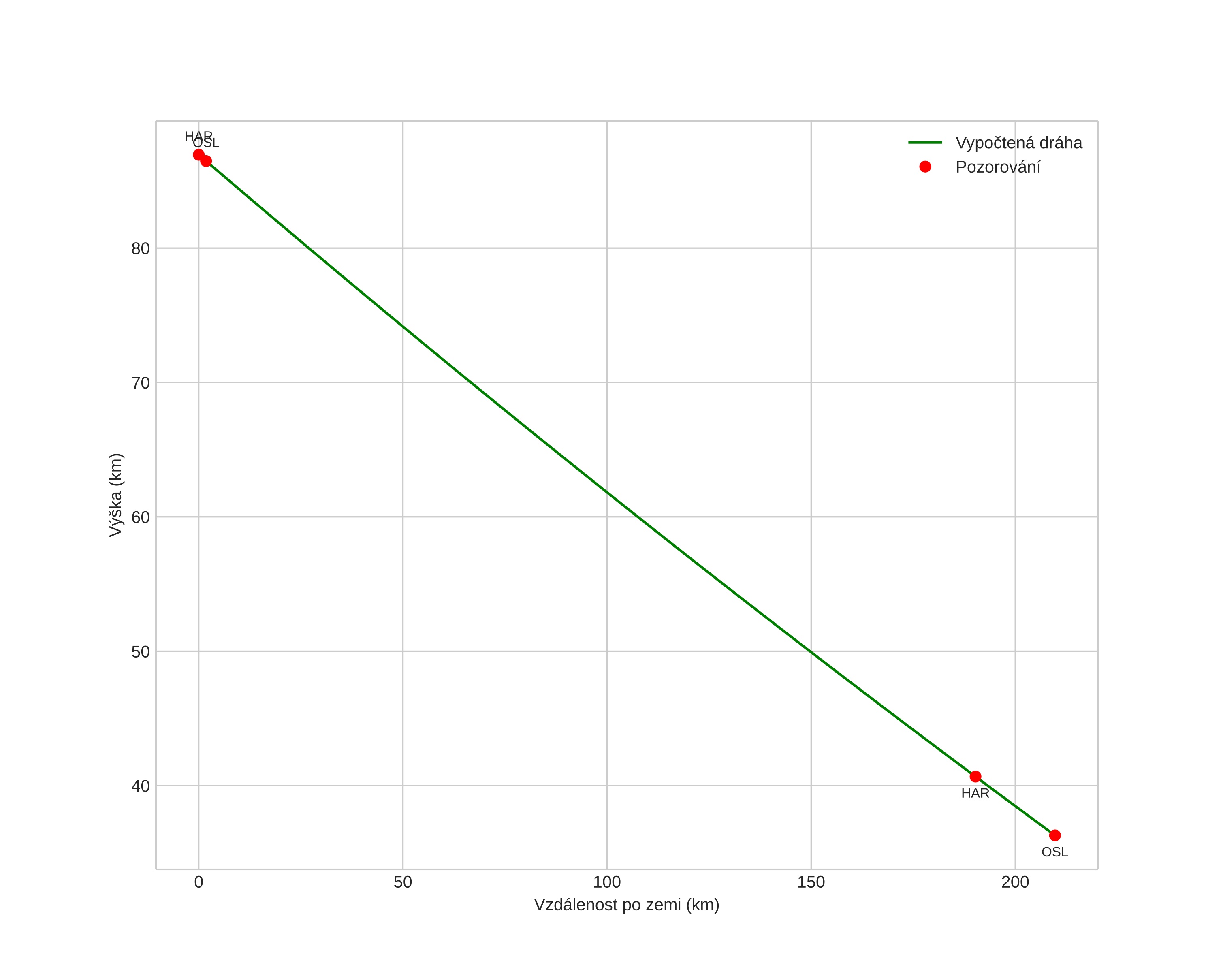
height profile
Atmosférická dráha meteoru:
Počáteční výška: 86,9 km
Konečná výška: 36,3 km
Počáteční poloha: 63,927N 0,657E
Konečná poloha: 62,307N 2,796E
Směr: 148,2°
Sklon: 13,6°
VstupnĂ­ rychlost: 36,7 km/s
Rektascenze radiantu: 19:35 (293,9°)
Deklinace radiantu: 32,8°
MeteorickĂ˝ roj: sporadickĂ˝
Elementy dráhy meteoroidu:
Vzdálenost v periheliu: 0,991 AU
Excentricita: 2,740
Sklon dráhy: 29,3°
Délka vzestupného uzlu: 200,3°
Argument perihelia: 187,8°
Střední anomálie: -9,3°
Epocha: 2015 OCT 14 03:31:12
orbit plot

NeinteraktivnĂ­ graf | InteraktivnĂ­ graf

position vs time
speed and acceleration