🇳🇴 🇬🇧 🇩🇪 🇨🇿 🇫🇮

Meteor Florøin yllä 2015-10-14 03:31:12 UTC

KML-tiedosto  |  Interaktiivinen kartta

Kartta näyttää meteorin suuntahavainnot. Vaaleammat viivat näyttävät suunnat havaintoasemilta meteorin ilmestyessä, ja tummemmat viivat näyttävät, missä se viimeksi nähtiin. Sininen nuoli näyttää meteorin näkyvän lennon.

static map
height profile
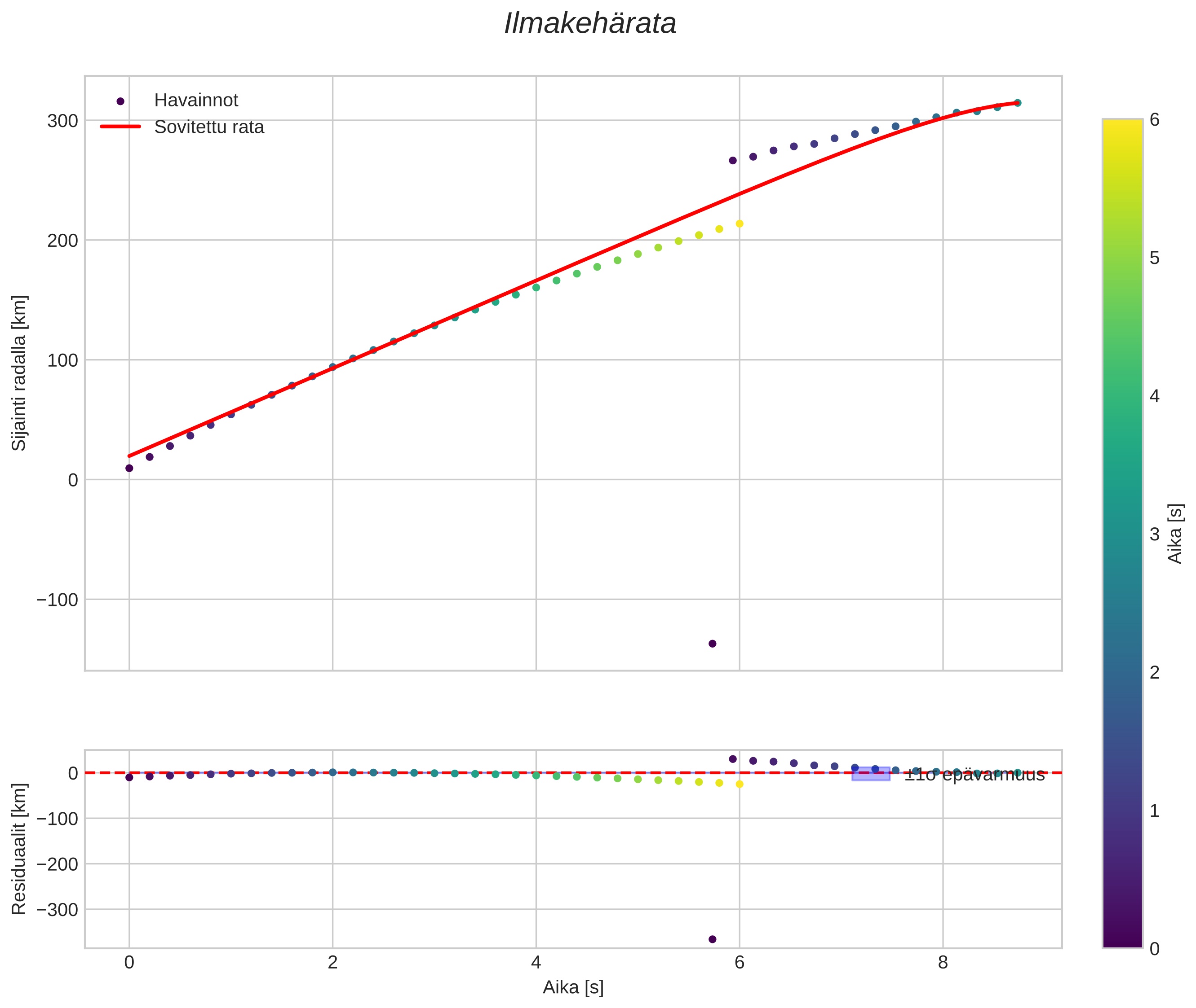
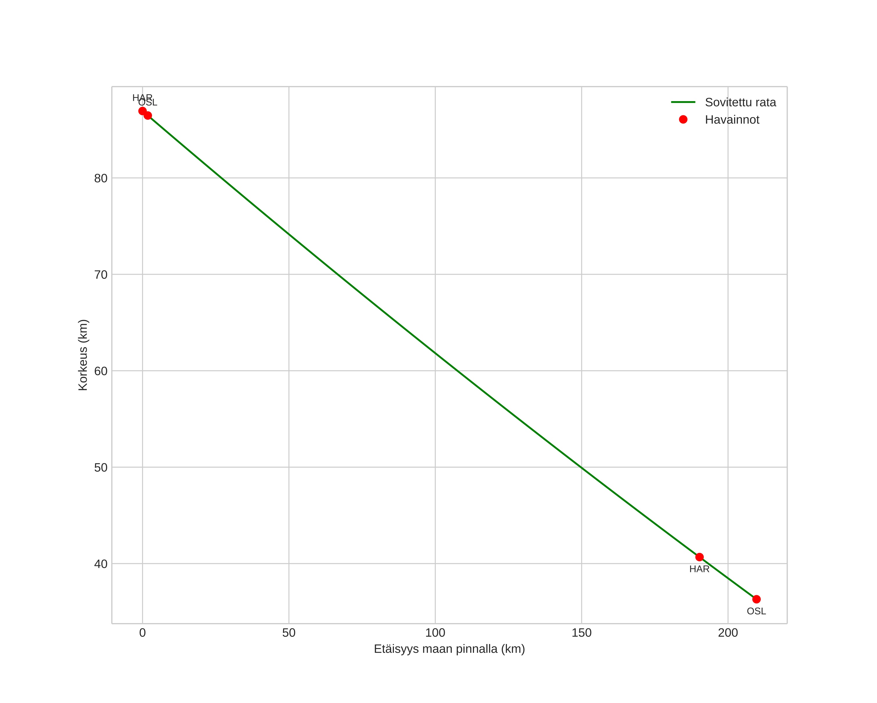
Meteorin ilmakehärata:
Alkukorkeus: 86,9 km
Loppukorkeus: 36,3 km
Alkupiste: 63,927N 0,657E
Loppupiste: 62,307N 2,796E
Suunta: 148,2°
Kallistuskulma: 13,6°
Tulonopeus: 36,7 km/s
Radiantin R,A,: 19:35 (293,9°)
Radiantin Dekl,: 32,8°
Meteoriparvi: Sporadinen
Meteoroidin rataelementit:
Perihelietäisyys: 0,991 AU
Eksentrisyys: 2,740
Inklinaatio: 29,3°
Nousevan solmun pituus: 200,3°
Perihelin argumentti: 187,8°
Keskianomalia: -9,3°
Epookki: 2015 OCT 14 03:31:12
orbit plot

Ei-interaktiivinen kuvaaja | Interaktiivinen kuvaaja

position vs time
speed and acceleration