🇳🇴 🇬🇧 🇩🇪 🇨🇿 🇫🇮

Meteor, poloha: Sandane 2015-10-14 19:07:24 UTC

Soubor KML  |  InteraktivnĂ­ mapa

Mapa zobrazuje dráhy meteoru. Světlejší čáry ukazují směry od pozorovacích stanic při objevení se meteoru a tmavší čáry, kde byl naposledy viděn. Modrá šipka značí viditelnou dráhu meteoru.

static map
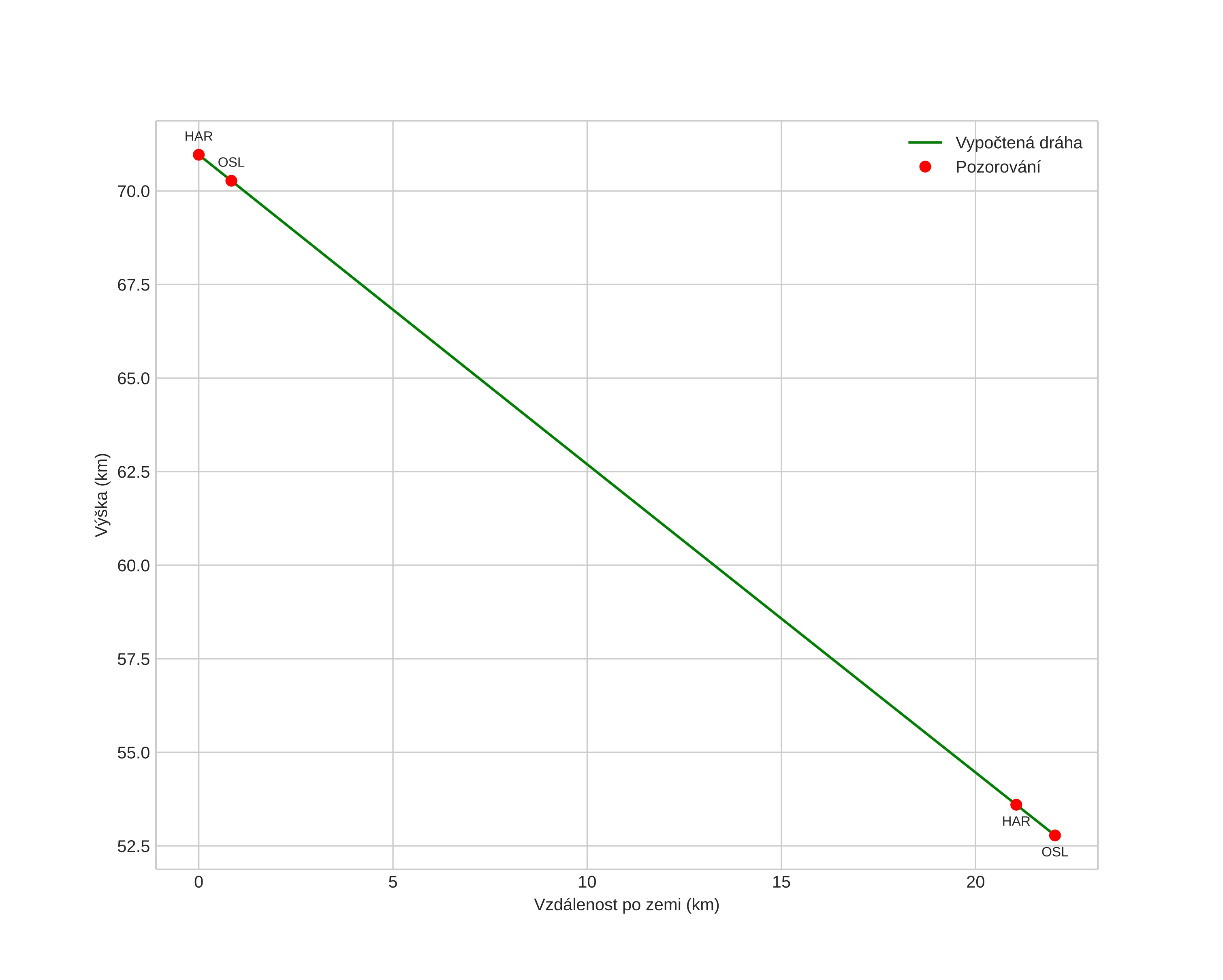
height profile
Atmosférická dráha meteoru:
Počáteční výška: 71,0 km
Konečná výška: 52,8 km
Počáteční poloha: 61,709N 6,366E
Konečná poloha: 61,877N 6,143E
Směr: 327,8°
Sklon: 39,5°
VstupnĂ­ rychlost: 15,6 km/s
Rektascenze radiantu: 22:50 (342,7°)
Deklinace radiantu: 5,3°
MeteorickĂ˝ roj: sporadickĂ˝
Elementy dráhy meteoroidu:
Vzdálenost v periheliu: 0,914 AU
Excentricita: 0,587
Sklon dráhy: 3,5°
Délka vzestupného uzlu: 200,9°
Argument perihelia: 219,2°
Střední anomálie: 351,2°
Epocha: 2015 OCT 14 19:07:24
orbit plot

NeinteraktivnĂ­ graf | InteraktivnĂ­ graf

position vs time
speed and acceleration