🇳🇴 🇬🇧 🇩🇪 🇨🇿 🇫🇮

Meteor, poloha: Sauda 2015-10-15 20:04:37 UTC

Soubor KML  |  InteraktivnĂ­ mapa

Mapa zobrazuje dráhy meteoru. Světlejší čáry ukazují směry od pozorovacích stanic při objevení se meteoru a tmavší čáry, kde byl naposledy viděn. Modrá šipka značí viditelnou dráhu meteoru.

static map
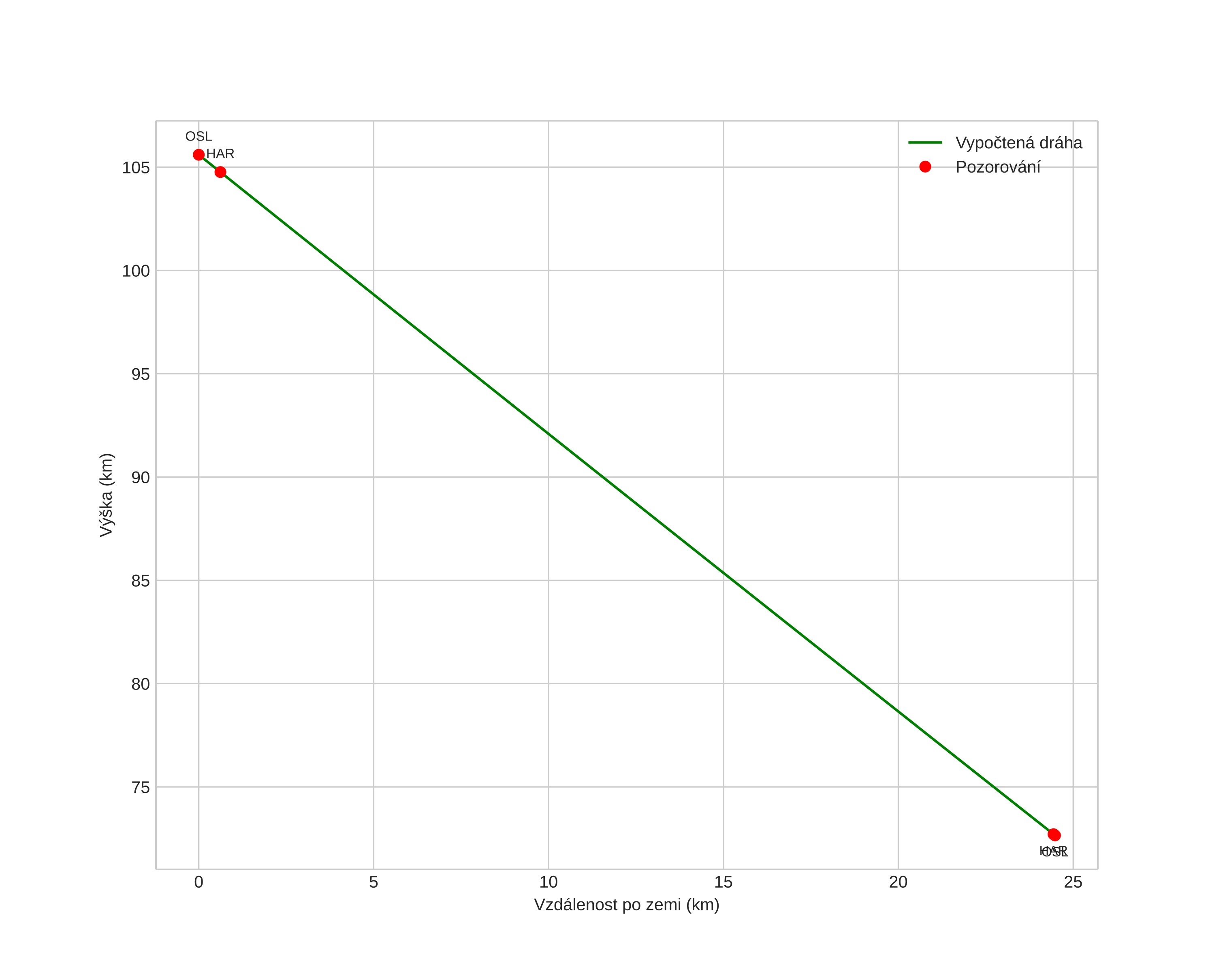
height profile
Atmosférická dráha meteoru:
Počáteční výška: 105,6 km
Konečná výška: 72,7 km
Počáteční poloha: 59,964N 6,715E
Konečná poloha: 59,747N 6,647E
Směr: 189,0°
Sklon: 53,3°
VstupnĂ­ rychlost: 52,3 km/s
Rektascenze radiantu: 07:32 (113,1°)
Deklinace radiantu: 81,7°
MeteorickĂ˝ roj: sporadickĂ˝
Elementy dráhy meteoroidu:
Vzdálenost v periheliu: 0,971 AU
Excentricita: 1,226
Sklon dráhy: 84,3°
Délka vzestupného uzlu: 201,9°
Argument perihelia: 197,9°
Střední anomálie: -1,3°
Epocha: 2015 OCT 15 20:04:37
orbit plot

NeinteraktivnĂ­ graf | InteraktivnĂ­ graf

position vs time
speed and acceleration