🇳🇴 🇬🇧 🇩🇪 🇨🇿 🇫🇮

Meteor, poloha: Vik 2015-10-15 21:19:03 UTC

Soubor KML  |  InteraktivnĂ­ mapa

Mapa zobrazuje dráhy meteoru. Světlejší čáry ukazují směry od pozorovacích stanic při objevení se meteoru a tmavší čáry, kde byl naposledy viděn. Modrá šipka značí viditelnou dráhu meteoru.

static map
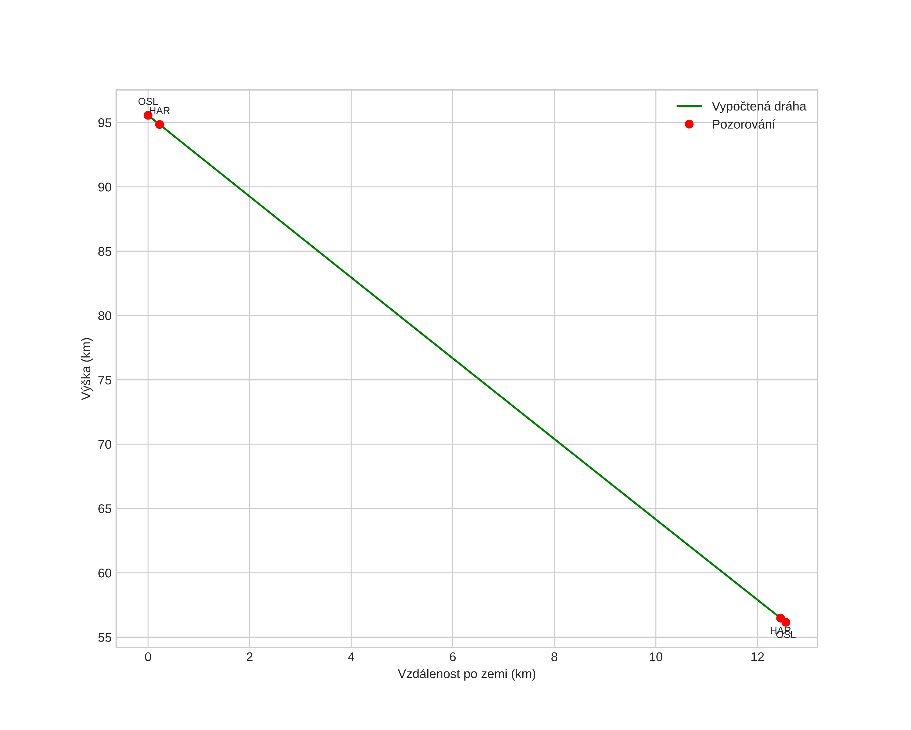
height profile
Atmosférická dráha meteoru:
Počáteční výška: 95,6 km
Konečná výška: 56,2 km
Počáteční poloha: 60,162N 10,340E
Konečná poloha: 60,054N 10,403E
Směr: 163,8°
Sklon: 72,3°
VstupnĂ­ rychlost: 32,2 km/s
Rektascenze radiantu: 22:00 (330,2°)
Deklinace radiantu: 76,4°
MeteorickĂ˝ roj: sporadickĂ˝
Elementy dráhy meteoroidu:
Vzdálenost v periheliu: 0,925 AU
Excentricita: 0,693
Sklon dráhy: 49,3°
Délka vzestupného uzlu: 202,0°
Argument perihelia: 214,7°
Střední anomálie: 355,2°
Epocha: 2015 OCT 15 21:19:03
orbit plot

NeinteraktivnĂ­ graf | InteraktivnĂ­ graf

position vs time
speed and acceleration