🇳🇴 🇬🇧 🇩🇪 🇨🇿 🇫🇮

Meteor Vikin yllä 2015-10-15 21:19:03 UTC

KML-tiedosto  |  Interaktiivinen kartta

Kartta näyttää meteorin suuntahavainnot. Vaaleammat viivat näyttävät suunnat havaintoasemilta meteorin ilmestyessä, ja tummemmat viivat näyttävät, missä se viimeksi nähtiin. Sininen nuoli näyttää meteorin näkyvän lennon.

static map
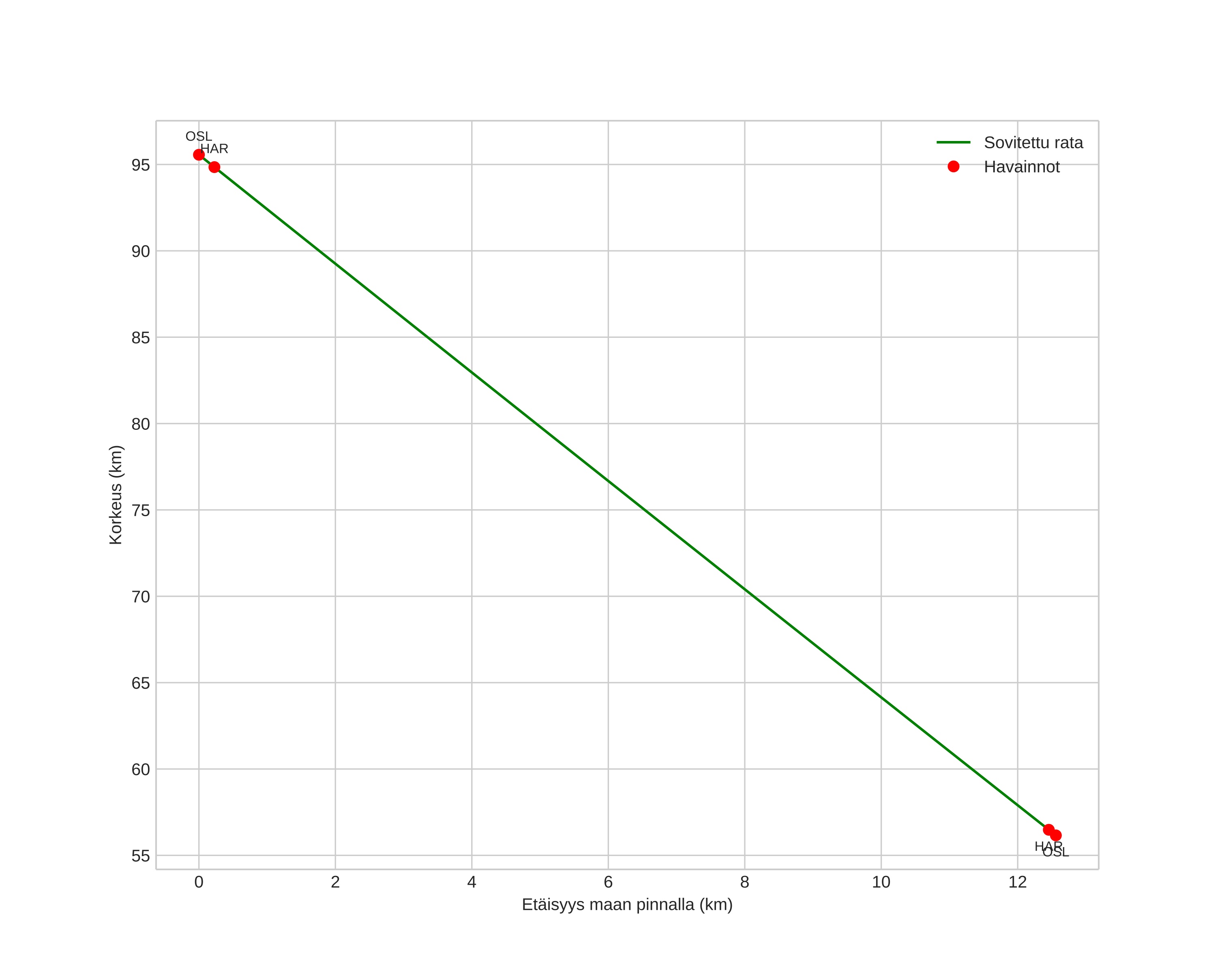
height profile
Meteorin ilmakehärata:
Alkukorkeus: 95,6 km
Loppukorkeus: 56,2 km
Alkupiste: 60,162N 10,340E
Loppupiste: 60,054N 10,403E
Suunta: 163,8°
Kallistuskulma: 72,3°
Tulonopeus: 32,2 km/s
Radiantin R,A,: 22:00 (330,2°)
Radiantin Dekl,: 76,4°
Meteoriparvi: Sporadinen
Meteoroidin rataelementit:
Perihelietäisyys: 0,925 AU
Eksentrisyys: 0,693
Inklinaatio: 49,3°
Nousevan solmun pituus: 202,0°
Perihelin argumentti: 214,7°
Keskianomalia: 355,2°
Epookki: 2015 OCT 15 21:19:03
orbit plot

Ei-interaktiivinen kuvaaja | Interaktiivinen kuvaaja

position vs time
speed and acceleration