🇳🇴 🇬🇧 🇩🇪 🇨🇿 🇫🇮

Meteor, poloha: Innbygda 2015-10-18 00:40:03 UTC

Soubor KML  |  InteraktivnĂ­ mapa

Mapa zobrazuje dráhy meteoru. Světlejší čáry ukazují směry od pozorovacích stanic při objevení se meteoru a tmavší čáry, kde byl naposledy viděn. Modrá šipka značí viditelnou dráhu meteoru.

static map
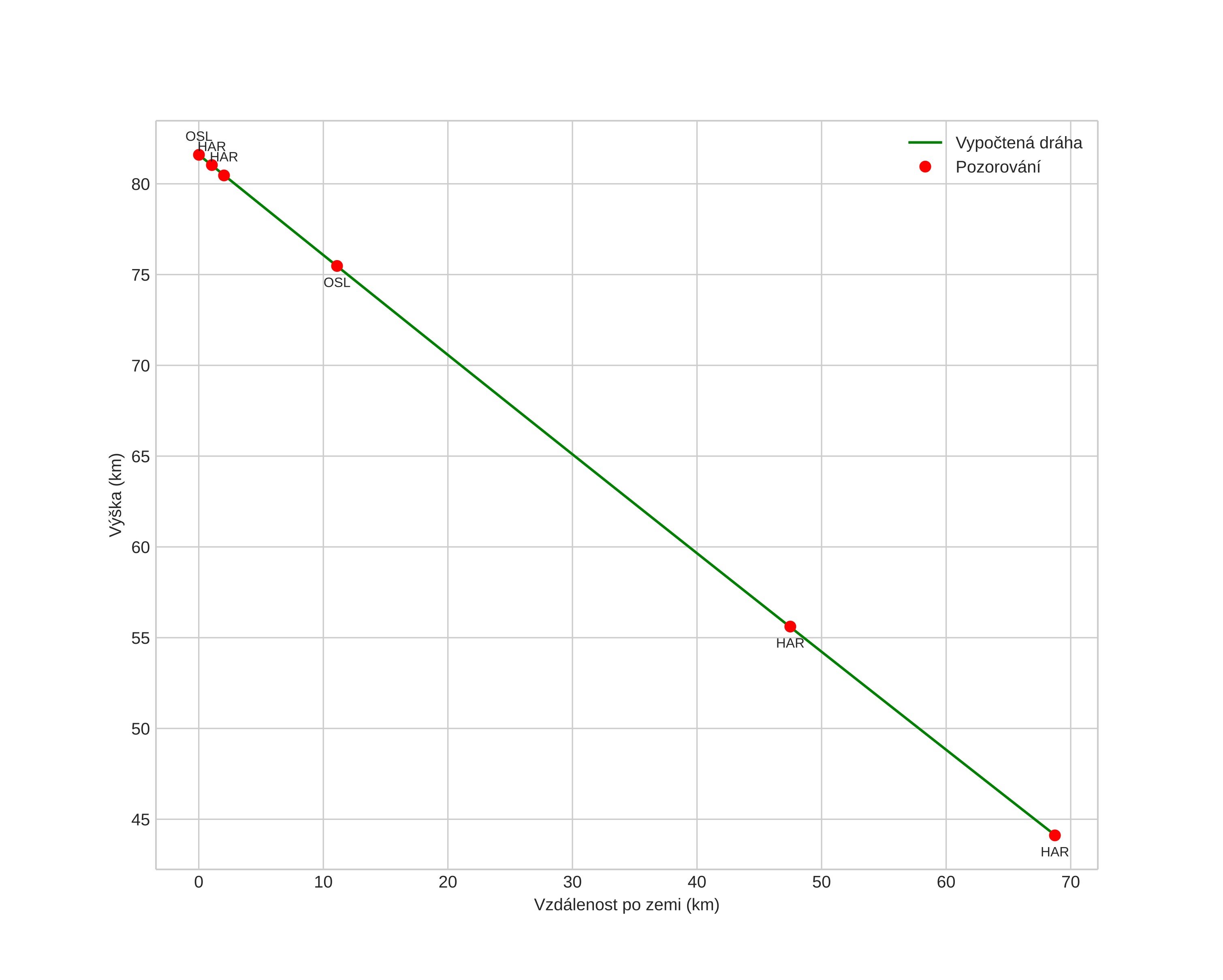
height profile
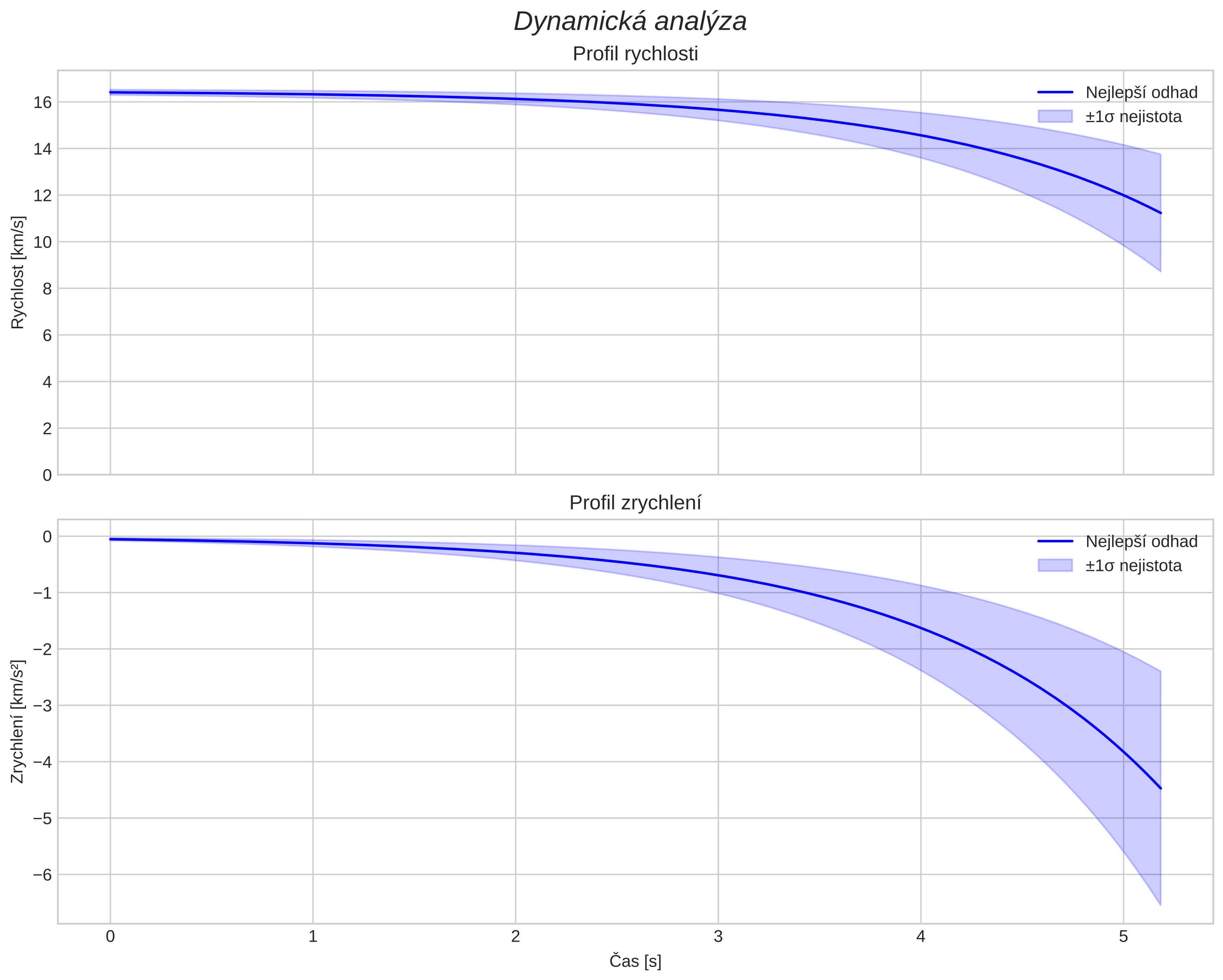
Atmosférická dráha meteoru:
Počáteční výška: 81,6 km
Konečná výška: 44,1 km
Počáteční poloha: 60,550N 11,619E
Konečná poloha: 60,833N 12,743E
Směr: 62,3°
Sklon: 28,6°
VstupnĂ­ rychlost: 16,4 km/s
Rektascenze radiantu: 23:19 (349,8°)
Deklinace radiantu: 3,2°
MeteorickĂ˝ roj: sporadickĂ˝
Elementy dráhy meteoroidu:
Vzdálenost v periheliu: 0,894 AU
Excentricita: 0,662
Sklon dráhy: 2,4°
Délka vzestupného uzlu: 204,1°
Argument perihelia: 222,1°
Střední anomálie: 353,1°
Epocha: 2015 OCT 18 00:40:03
orbit plot

NeinteraktivnĂ­ graf | InteraktivnĂ­ graf

position vs time
speed and acceleration