🇳🇴 🇬🇧 🇩🇪 🇨🇿 🇫🇮

Meteor Innbygdan yllä 2015-10-18 00:40:03 UTC

KML-tiedosto  |  Interaktiivinen kartta

Kartta näyttää meteorin suuntahavainnot. Vaaleammat viivat näyttävät suunnat havaintoasemilta meteorin ilmestyessä, ja tummemmat viivat näyttävät, missä se viimeksi nähtiin. Sininen nuoli näyttää meteorin näkyvän lennon.

static map
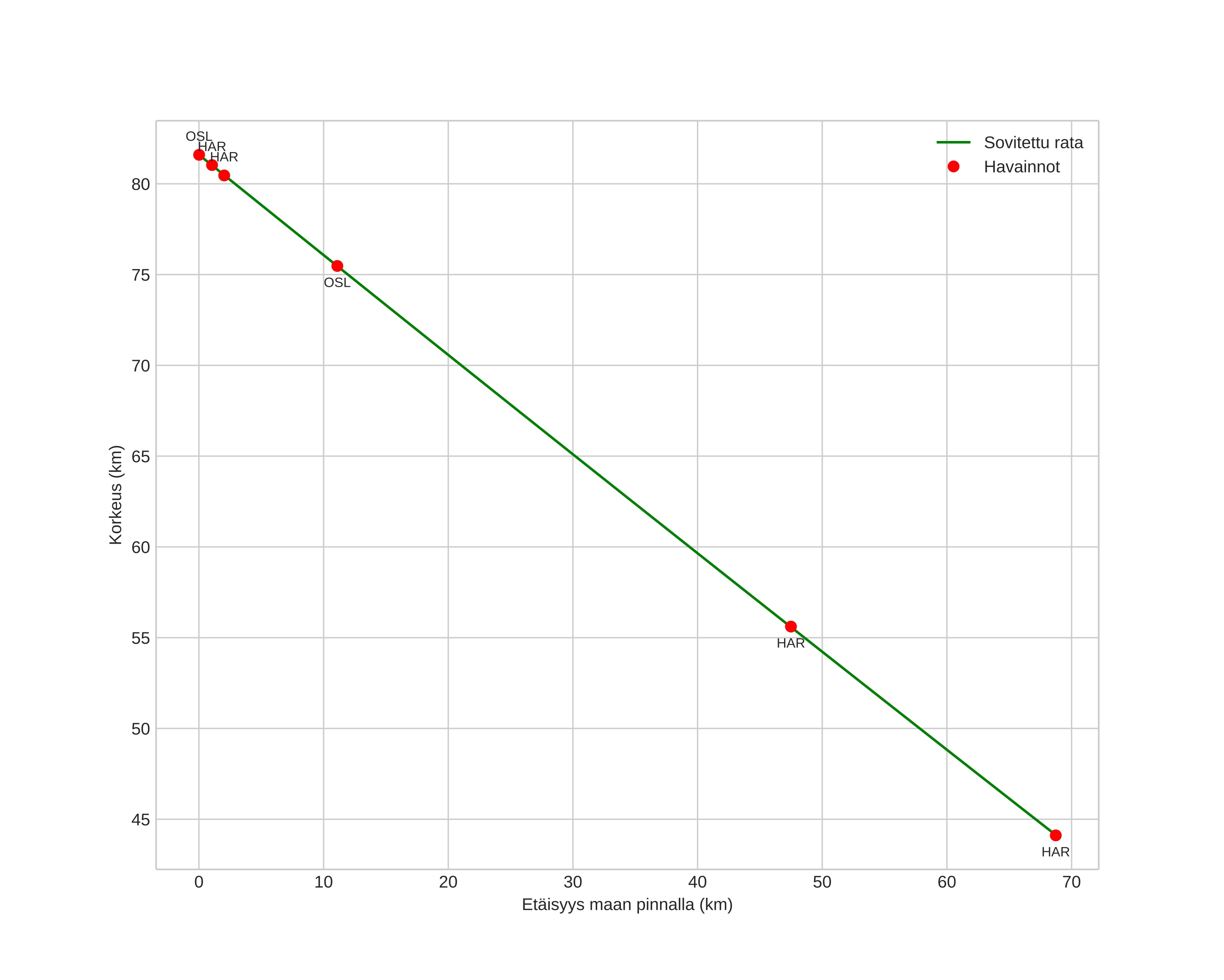
height profile
Meteorin ilmakehärata:
Alkukorkeus: 81,6 km
Loppukorkeus: 44,1 km
Alkupiste: 60,550N 11,619E
Loppupiste: 60,833N 12,743E
Suunta: 62,3°
Kallistuskulma: 28,6°
Tulonopeus: 16,4 km/s
Radiantin R,A,: 23:19 (349,8°)
Radiantin Dekl,: 3,2°
Meteoriparvi: Sporadinen
Meteoroidin rataelementit:
Perihelietäisyys: 0,894 AU
Eksentrisyys: 0,662
Inklinaatio: 2,4°
Nousevan solmun pituus: 204,1°
Perihelin argumentti: 222,1°
Keskianomalia: 353,1°
Epookki: 2015 OCT 18 00:40:03
orbit plot

Ei-interaktiivinen kuvaaja | Interaktiivinen kuvaaja

position vs time
speed and acceleration