🇳🇴 🇬🇧 🇩🇪 🇨🇿 🇫🇮

Meteor, poloha: Ă…l 2015-10-23 23:48:45 UTC

Soubor KML  |  InteraktivnĂ­ mapa

Mapa zobrazuje dráhy meteoru. Světlejší čáry ukazují směry od pozorovacích stanic při objevení se meteoru a tmavší čáry, kde byl naposledy viděn. Modrá šipka značí viditelnou dráhu meteoru.

static map
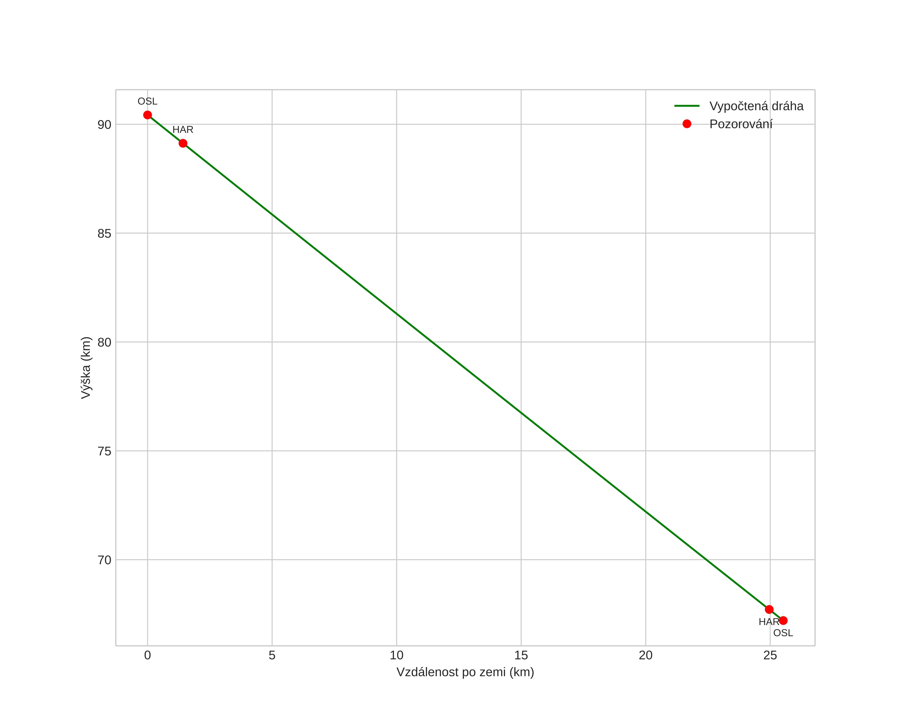
height profile
Atmosférická dráha meteoru:
Počáteční výška: 90,4 km
Konečná výška: 67,2 km
Počáteční poloha: 60,096N 8,529E
Konečná poloha: 60,324N 8,483E
Směr: 354,3°
Sklon: 42,3°
VstupnĂ­ rychlost: 27,5 km/s
Rektascenze radiantu: 02:45 (41,5°)
Deklinace radiantu: 10,1°
MeteorickĂ˝ roj: JiĹľnĂ­ Tauridy
Elementy dráhy meteoroidu:
Vzdálenost v periheliu: 0,390 AU
Excentricita: 0,761
Sklon dráhy: 5,7°
Délka vzestupného uzlu: 30,0°
Argument perihelia: 114,1°
Střední anomálie: 338,2°
Epocha: 2015 OCT 23 23:48:45
orbit plot

NeinteraktivnĂ­ graf | InteraktivnĂ­ graf

position vs time
speed and acceleration