🇳🇴 🇬🇧 🇩🇪 🇨🇿 🇫🇮

Meteor Ålin yllä 2015-10-23 23:48:45 UTC

KML-tiedosto  |  Interaktiivinen kartta

Kartta näyttää meteorin suuntahavainnot. Vaaleammat viivat näyttävät suunnat havaintoasemilta meteorin ilmestyessä, ja tummemmat viivat näyttävät, missä se viimeksi nähtiin. Sininen nuoli näyttää meteorin näkyvän lennon.

static map
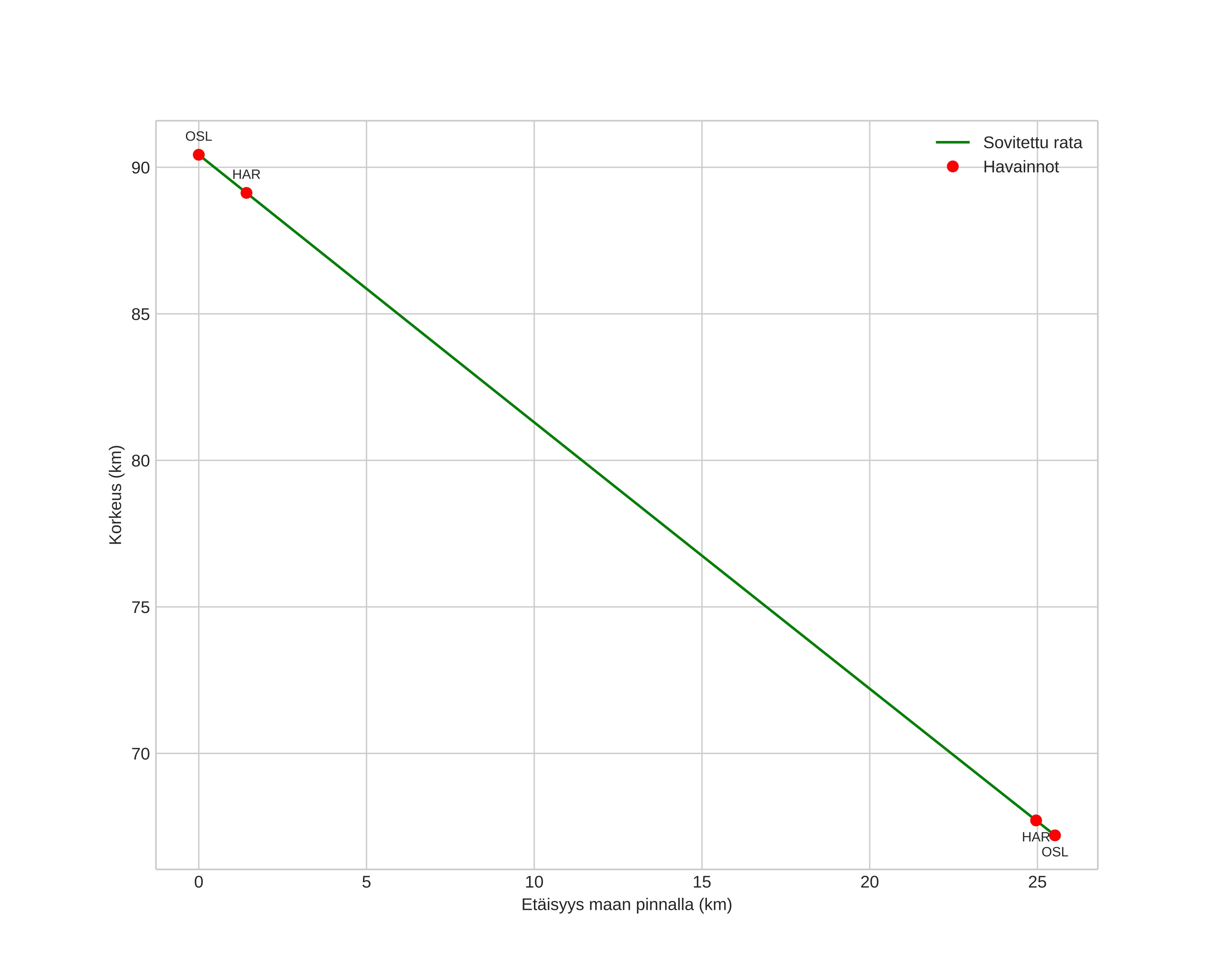
height profile
Meteorin ilmakehärata:
Alkukorkeus: 90,4 km
Loppukorkeus: 67,2 km
Alkupiste: 60,096N 8,529E
Loppupiste: 60,324N 8,483E
Suunta: 354,3°
Kallistuskulma: 42,3°
Tulonopeus: 27,5 km/s
Radiantin R,A,: 02:45 (41,5°)
Radiantin Dekl,: 10,1°
Meteoriparvi: Eteläiset tauridit
Meteoroidin rataelementit:
Perihelietäisyys: 0,390 AU
Eksentrisyys: 0,761
Inklinaatio: 5,7°
Nousevan solmun pituus: 30,0°
Perihelin argumentti: 114,1°
Keskianomalia: 338,2°
Epookki: 2015 OCT 23 23:48:45
orbit plot

Ei-interaktiivinen kuvaaja | Interaktiivinen kuvaaja

position vs time
speed and acceleration