🇳🇴 🇬🇧 🇩🇪 🇨🇿 🇫🇮

Meteor, poloha: Ă…mot 2015-10-25 03:30:48 UTC

Soubor KML  |  InteraktivnĂ­ mapa

Mapa zobrazuje dráhy meteoru. Světlejší čáry ukazují směry od pozorovacích stanic při objevení se meteoru a tmavší čáry, kde byl naposledy viděn. Modrá šipka značí viditelnou dráhu meteoru.

static map
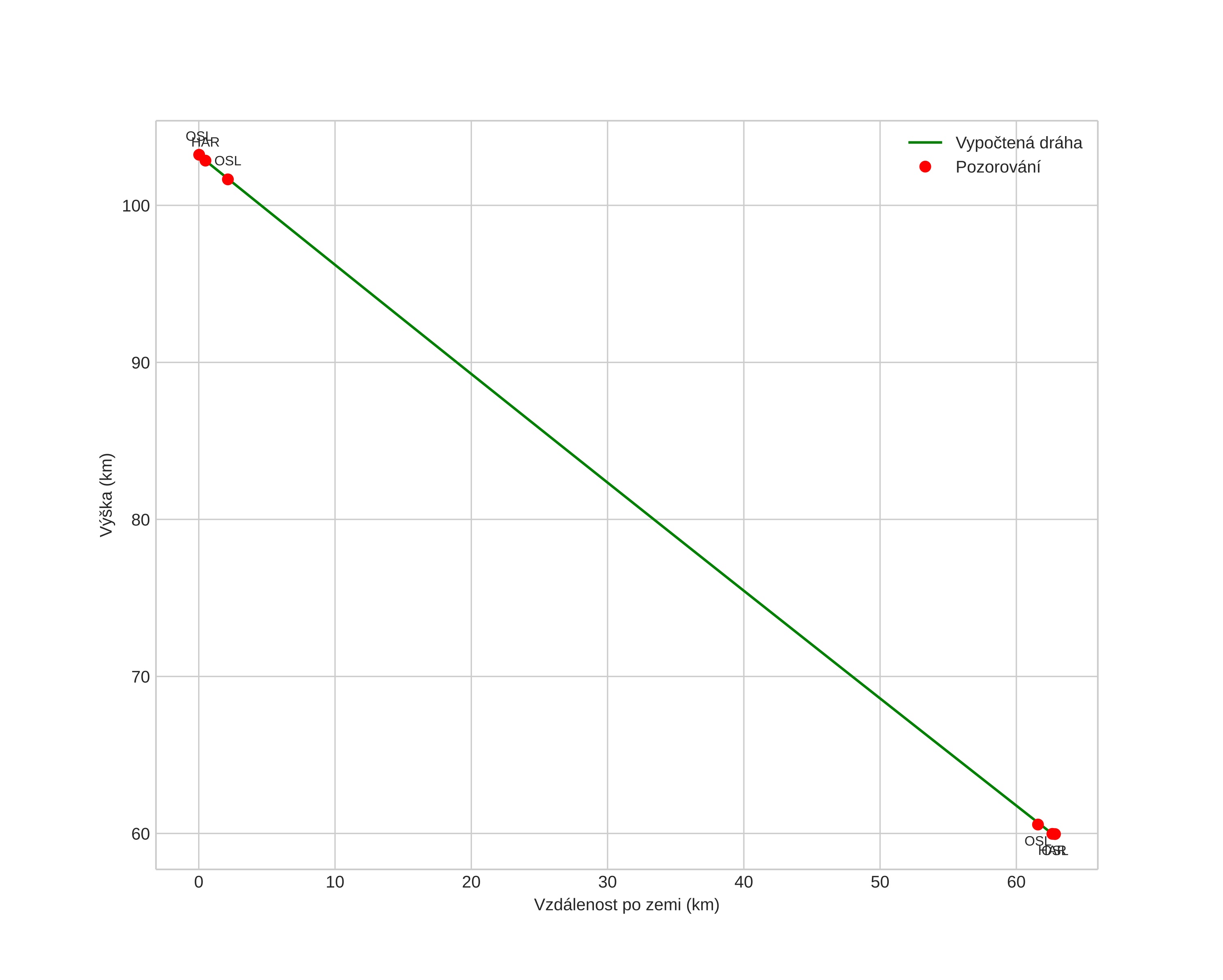
height profile
Atmosférická dráha meteoru:
Počáteční výška: 103,2 km
Konečná výška: 59,9 km
Počáteční poloha: 59,347N 7,342E
Konečná poloha: 59,661N 8,268E
Směr: 55,9°
Sklon: 34,6°
VstupnĂ­ rychlost: 34,3 km/s
Rektascenze radiantu: 03:08 (47,2°)
Deklinace radiantu: 13,0°
MeteorickĂ˝ roj: SevernĂ­ Tauridy
Elementy dráhy meteoroidu:
Vzdálenost v periheliu: 0,246 AU
Excentricita: 0,898
Sklon dráhy: 7,2°
Délka vzestupného uzlu: 31,2°
Argument perihelia: 126,2°
Střední anomálie: 349,8°
Epocha: 2015 OCT 25 03:30:48
orbit plot

NeinteraktivnĂ­ graf | InteraktivnĂ­ graf

position vs time
speed and acceleration