🇳🇴 🇬🇧 🇩🇪 🇨🇿 🇫🇮

Meteor Åmotin yllä 2015-10-25 03:30:48 UTC

KML-tiedosto  |  Interaktiivinen kartta

Kartta näyttää meteorin suuntahavainnot. Vaaleammat viivat näyttävät suunnat havaintoasemilta meteorin ilmestyessä, ja tummemmat viivat näyttävät, missä se viimeksi nähtiin. Sininen nuoli näyttää meteorin näkyvän lennon.

static map
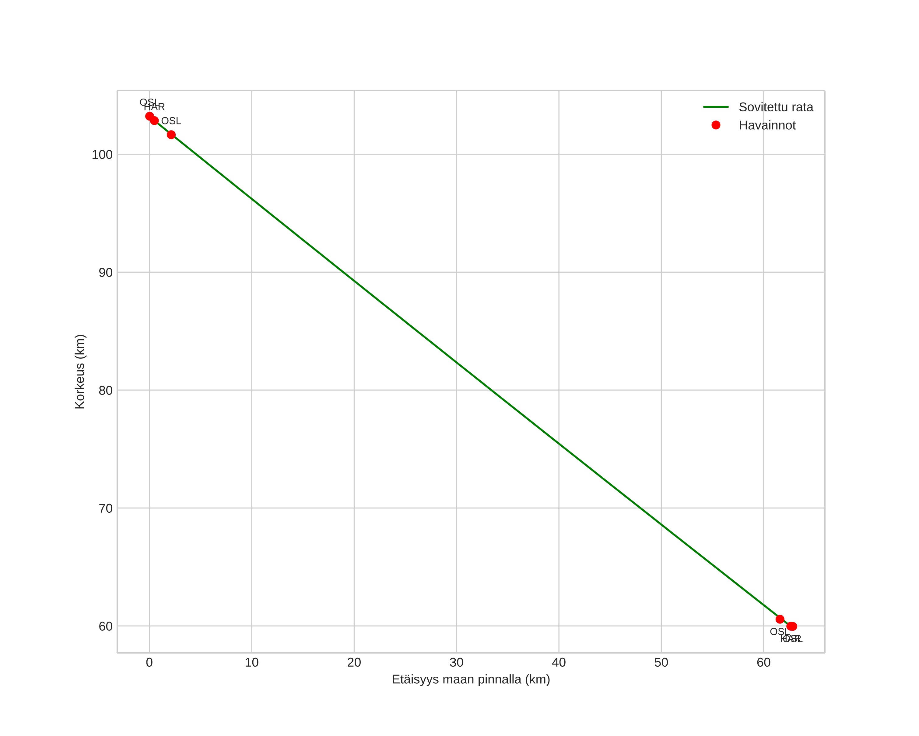
height profile
Meteorin ilmakehärata:
Alkukorkeus: 103,2 km
Loppukorkeus: 59,9 km
Alkupiste: 59,347N 7,342E
Loppupiste: 59,661N 8,268E
Suunta: 55,9°
Kallistuskulma: 34,6°
Tulonopeus: 34,3 km/s
Radiantin R,A,: 03:08 (47,2°)
Radiantin Dekl,: 13,0°
Meteoriparvi: Pohjoiset tauridit
Meteoroidin rataelementit:
Perihelietäisyys: 0,246 AU
Eksentrisyys: 0,898
Inklinaatio: 7,2°
Nousevan solmun pituus: 31,2°
Perihelin argumentti: 126,2°
Keskianomalia: 349,8°
Epookki: 2015 OCT 25 03:30:48
orbit plot

Ei-interaktiivinen kuvaaja | Interaktiivinen kuvaaja

position vs time
speed and acceleration