🇳🇴 🇬🇧 🇩🇪 🇨🇿 🇫🇮

Meteor, poloha: Hov 2015-11-02 01:04:06 UTC

Soubor KML  |  InteraktivnĂ­ mapa

Mapa zobrazuje dráhy meteoru. Světlejší čáry ukazují směry od pozorovacích stanic při objevení se meteoru a tmavší čáry, kde byl naposledy viděn. Modrá šipka značí viditelnou dráhu meteoru.

static map
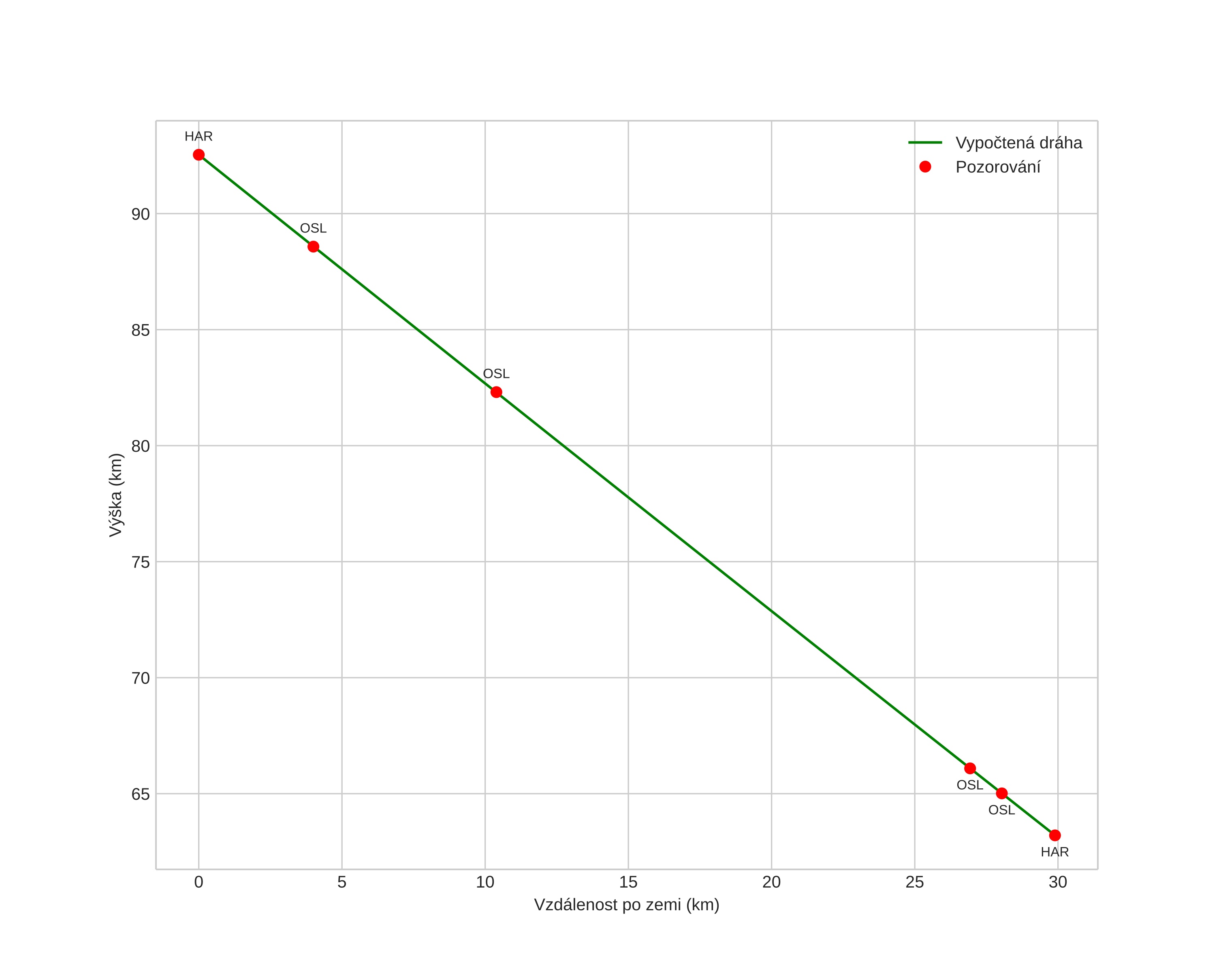
height profile
Atmosférická dráha meteoru:
Počáteční výška: 92,5 km
Konečná výška: 63,2 km
Počáteční poloha: 60,237N 10,085E
Konečná poloha: 60,491N 10,262E
Směr: 18,9°
Sklon: 44,4°
VstupnĂ­ rychlost: 32,4 km/s
Rektascenze radiantu: 03:28 (52,2°)
Deklinace radiantu: 14,2°
MeteorickĂ˝ roj: SevernĂ­ Tauridy
Elementy dráhy meteoroidu:
Vzdálenost v periheliu: 0,303 AU
Excentricita: 0,868
Sklon dráhy: 6,2°
Délka vzestupného uzlu: 39,1°
Argument perihelia: 119,6°
Střední anomálie: 348,5°
Epocha: 2015 NOV 02 01:04:06
orbit plot

NeinteraktivnĂ­ graf | InteraktivnĂ­ graf

position vs time
speed and acceleration