🇳🇴 🇬🇧 🇩🇪 🇨🇿 🇫🇮

Meteor Hovin yllä 2015-11-02 01:04:06 UTC

KML-tiedosto  |  Interaktiivinen kartta

Kartta näyttää meteorin suuntahavainnot. Vaaleammat viivat näyttävät suunnat havaintoasemilta meteorin ilmestyessä, ja tummemmat viivat näyttävät, missä se viimeksi nähtiin. Sininen nuoli näyttää meteorin näkyvän lennon.

static map
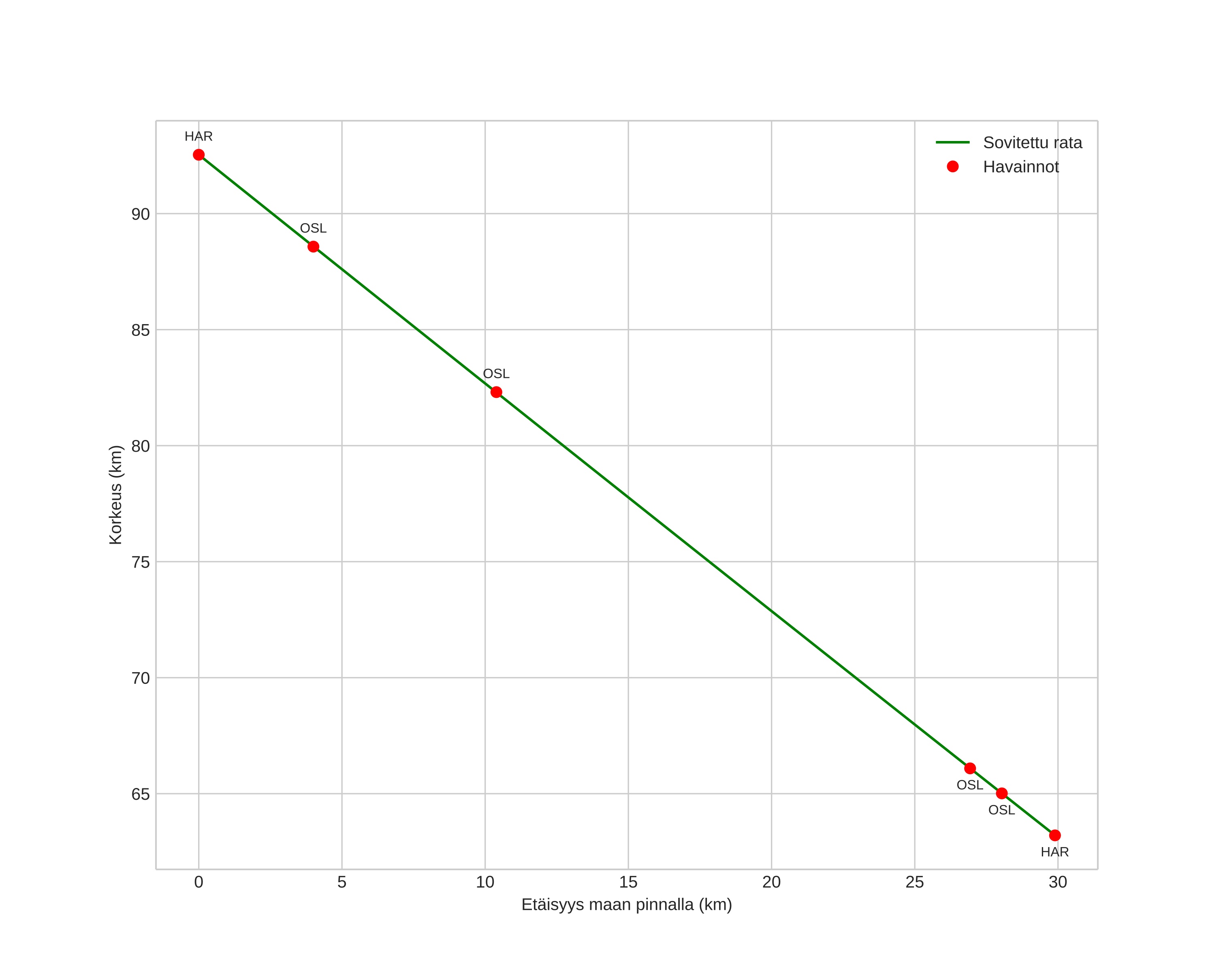
height profile
Meteorin ilmakehärata:
Alkukorkeus: 92,5 km
Loppukorkeus: 63,2 km
Alkupiste: 60,237N 10,085E
Loppupiste: 60,491N 10,262E
Suunta: 18,9°
Kallistuskulma: 44,4°
Tulonopeus: 32,4 km/s
Radiantin R,A,: 03:28 (52,2°)
Radiantin Dekl,: 14,2°
Meteoriparvi: Pohjoiset tauridit
Meteoroidin rataelementit:
Perihelietäisyys: 0,303 AU
Eksentrisyys: 0,868
Inklinaatio: 6,2°
Nousevan solmun pituus: 39,1°
Perihelin argumentti: 119,6°
Keskianomalia: 348,5°
Epookki: 2015 NOV 02 01:04:06
orbit plot

Ei-interaktiivinen kuvaaja | Interaktiivinen kuvaaja

position vs time
speed and acceleration