🇳🇴 🇬🇧 🇩🇪 🇨🇿 🇫🇮

Meteor, poloha: Torsby 2015-11-02 21:14:02 UTC

Soubor KML  |  InteraktivnĂ­ mapa

Mapa zobrazuje dráhy meteoru. Světlejší čáry ukazují směry od pozorovacích stanic při objevení se meteoru a tmavší čáry, kde byl naposledy viděn. Modrá šipka značí viditelnou dráhu meteoru.

static map
height profile
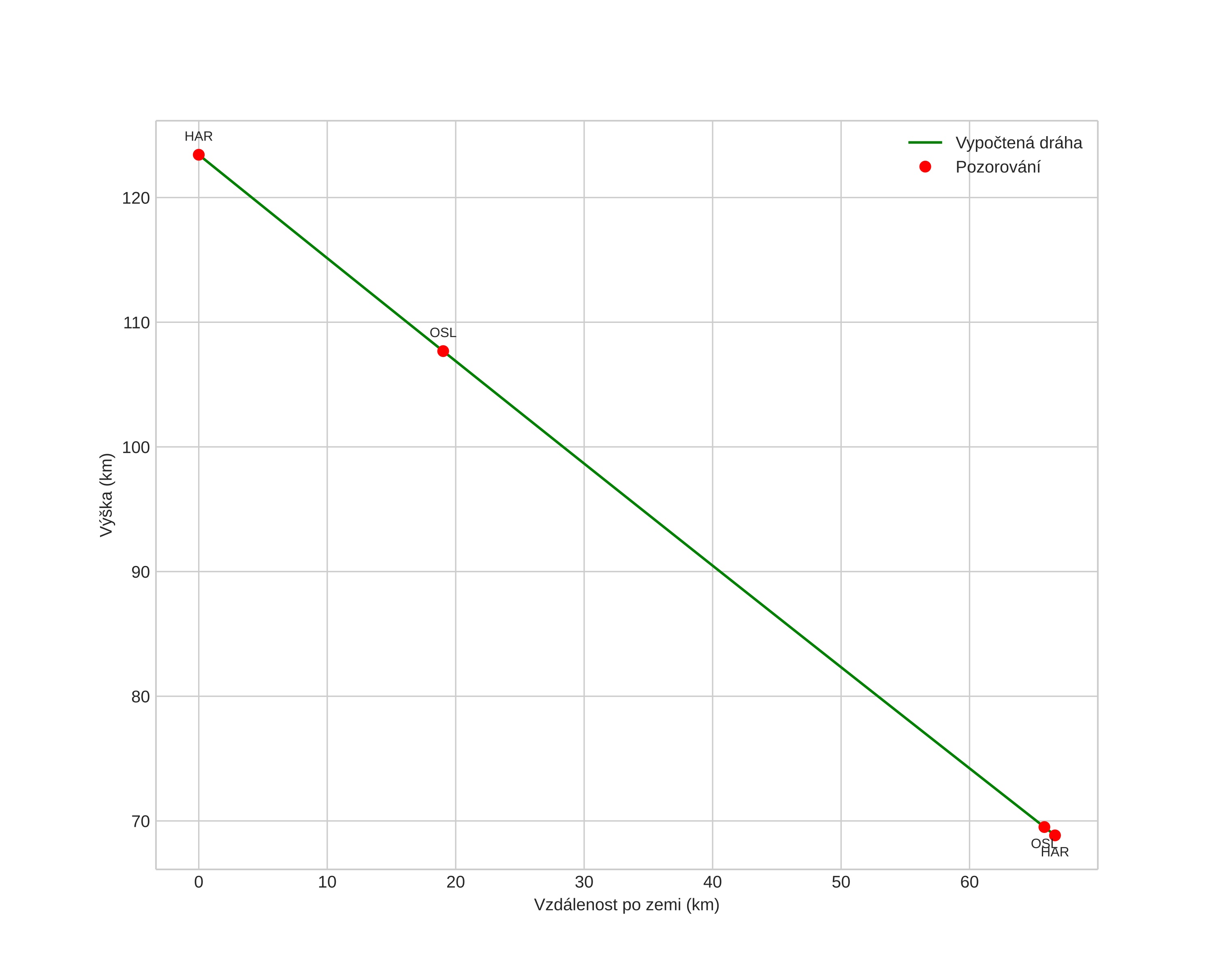
Atmosférická dráha meteoru:
Počáteční výška: 123,4 km
Konečná výška: 68,8 km
Počáteční poloha: 60,358N 13,968E
Konečná poloha: 60,672N 12,931E
Směr: 302,0°
Sklon: 39,3°
VstupnĂ­ rychlost: 50,8 km/s
Rektascenze radiantu: 03:53 (58,4°)
Deklinace radiantu: 19,7°
MeteorickĂ˝ roj: sporadickĂ˝
Elementy dráhy meteoroidu:
Vzdálenost v periheliu: 0,086 AU
Excentricita: 1,054
Sklon dráhy: 2,1°
Délka vzestupného uzlu: 39,9°
Argument perihelia: 141,1°
Střední anomálie: -13,6°
Epocha: 2015 NOV 02 21:14:02
orbit plot

NeinteraktivnĂ­ graf | InteraktivnĂ­ graf

position vs time
speed and acceleration