🇳🇴 🇬🇧 🇩🇪 🇨🇿 🇫🇮

Meteor Torsbyn yllä 2015-11-02 21:14:02 UTC

KML-tiedosto  |  Interaktiivinen kartta

Kartta näyttää meteorin suuntahavainnot. Vaaleammat viivat näyttävät suunnat havaintoasemilta meteorin ilmestyessä, ja tummemmat viivat näyttävät, missä se viimeksi nähtiin. Sininen nuoli näyttää meteorin näkyvän lennon.

static map
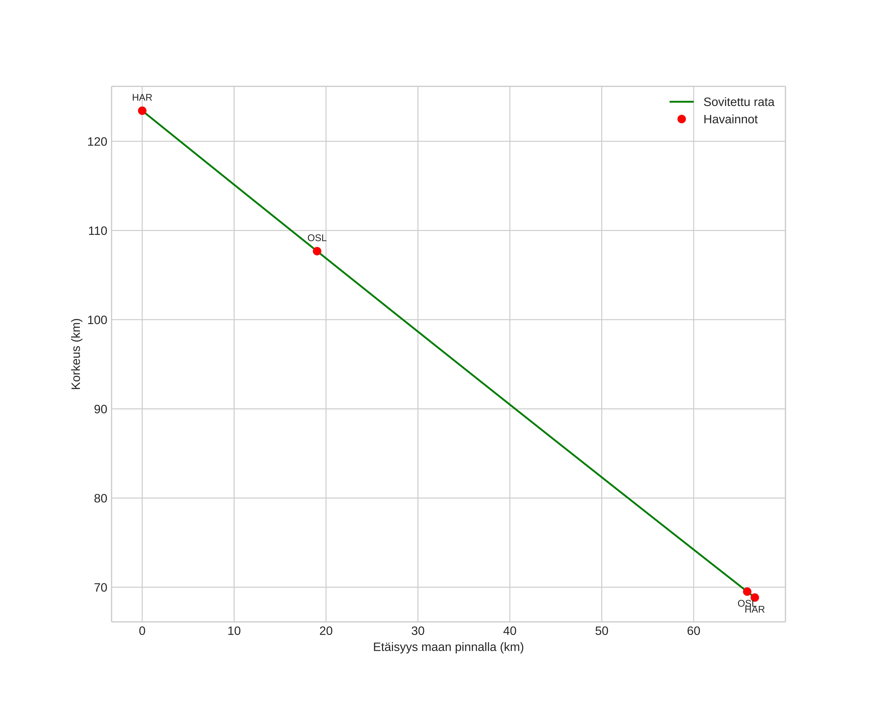
height profile
Meteorin ilmakehärata:
Alkukorkeus: 123,4 km
Loppukorkeus: 68,8 km
Alkupiste: 60,358N 13,968E
Loppupiste: 60,672N 12,931E
Suunta: 302,0°
Kallistuskulma: 39,3°
Tulonopeus: 50,8 km/s
Radiantin R,A,: 03:53 (58,4°)
Radiantin Dekl,: 19,7°
Meteoriparvi: Sporadinen
Meteoroidin rataelementit:
Perihelietäisyys: 0,086 AU
Eksentrisyys: 1,054
Inklinaatio: 2,1°
Nousevan solmun pituus: 39,9°
Perihelin argumentti: 141,1°
Keskianomalia: -13,6°
Epookki: 2015 NOV 02 21:14:02
orbit plot

Ei-interaktiivinen kuvaaja | Interaktiivinen kuvaaja

position vs time
speed and acceleration