🇳🇴 🇬🇧 🇩🇪 🇨🇿 🇫🇮

Meteor, poloha: Hokksund 2015-11-03 01:06:06 UTC

Soubor KML  |  InteraktivnĂ­ mapa

Mapa zobrazuje dráhy meteoru. Světlejší čáry ukazují směry od pozorovacích stanic při objevení se meteoru a tmavší čáry, kde byl naposledy viděn. Modrá šipka značí viditelnou dráhu meteoru.

static map
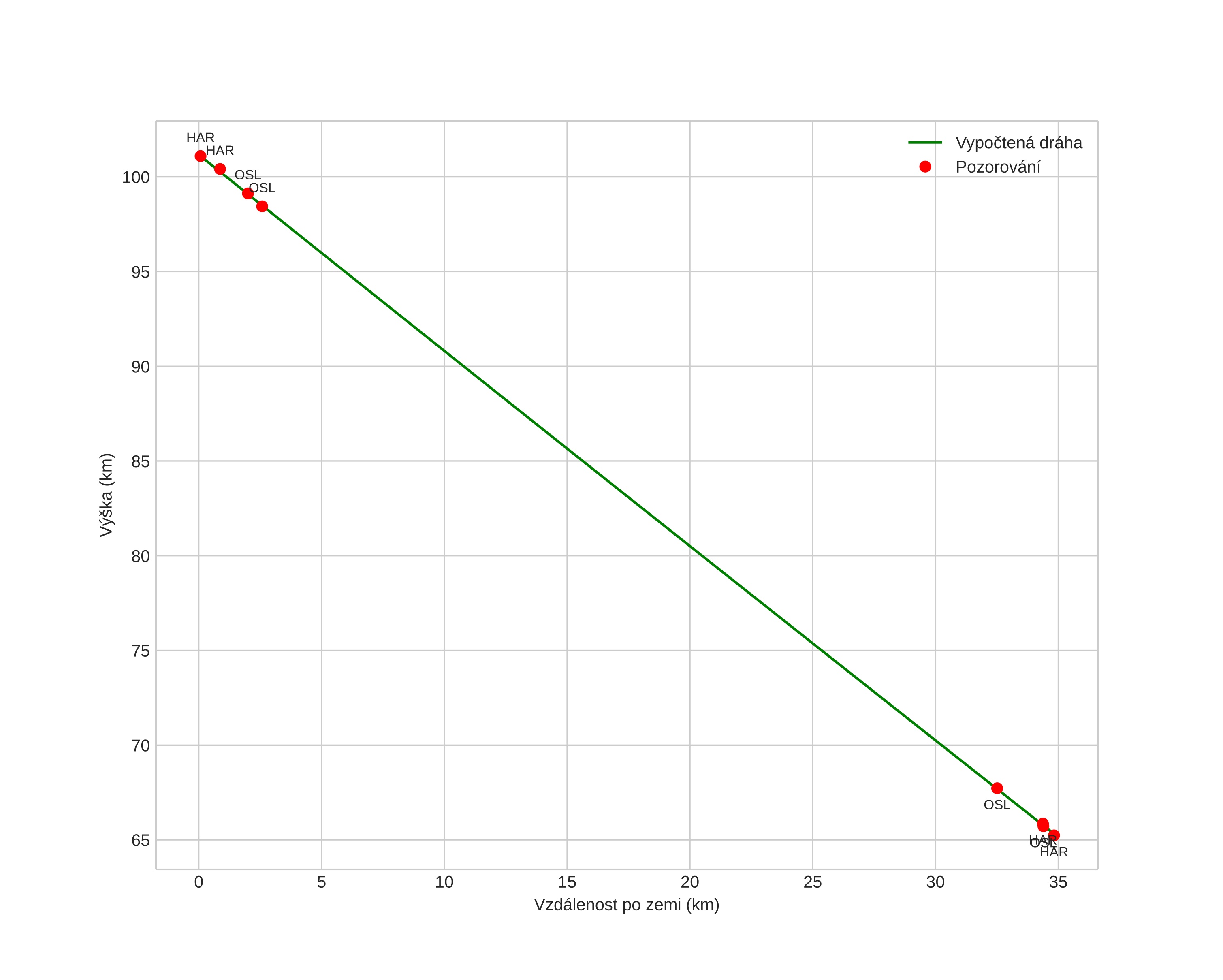
height profile
Atmosférická dráha meteoru:
Počáteční výška: 101,2 km
Konečná výška: 65,3 km
Počáteční poloha: 59,534N 9,683E
Konečná poloha: 59,830N 9,888E
Směr: 19,1°
Sklon: 45,8°
VstupnĂ­ rychlost: 32,0 km/s
Rektascenze radiantu: 03:33 (53,4°)
Deklinace radiantu: 14,9°
MeteorickĂ˝ roj: JiĹľnĂ­ Tauridy
Elementy dráhy meteoroidu:
Vzdálenost v periheliu: 0,303 AU
Excentricita: 0,859
Sklon dráhy: 5,6°
Délka vzestupného uzlu: 40,1°
Argument perihelia: 120,3°
Střední anomálie: 347,1°
Epocha: 2015 NOV 03 01:06:06
orbit plot

NeinteraktivnĂ­ graf | InteraktivnĂ­ graf

position vs time
speed and acceleration