🇳🇴 🇬🇧 🇩🇪 🇨🇿 🇫🇮

Meteor Hokksundin yllä 2015-11-03 01:06:06 UTC

KML-tiedosto  |  Interaktiivinen kartta

Kartta näyttää meteorin suuntahavainnot. Vaaleammat viivat näyttävät suunnat havaintoasemilta meteorin ilmestyessä, ja tummemmat viivat näyttävät, missä se viimeksi nähtiin. Sininen nuoli näyttää meteorin näkyvän lennon.

static map
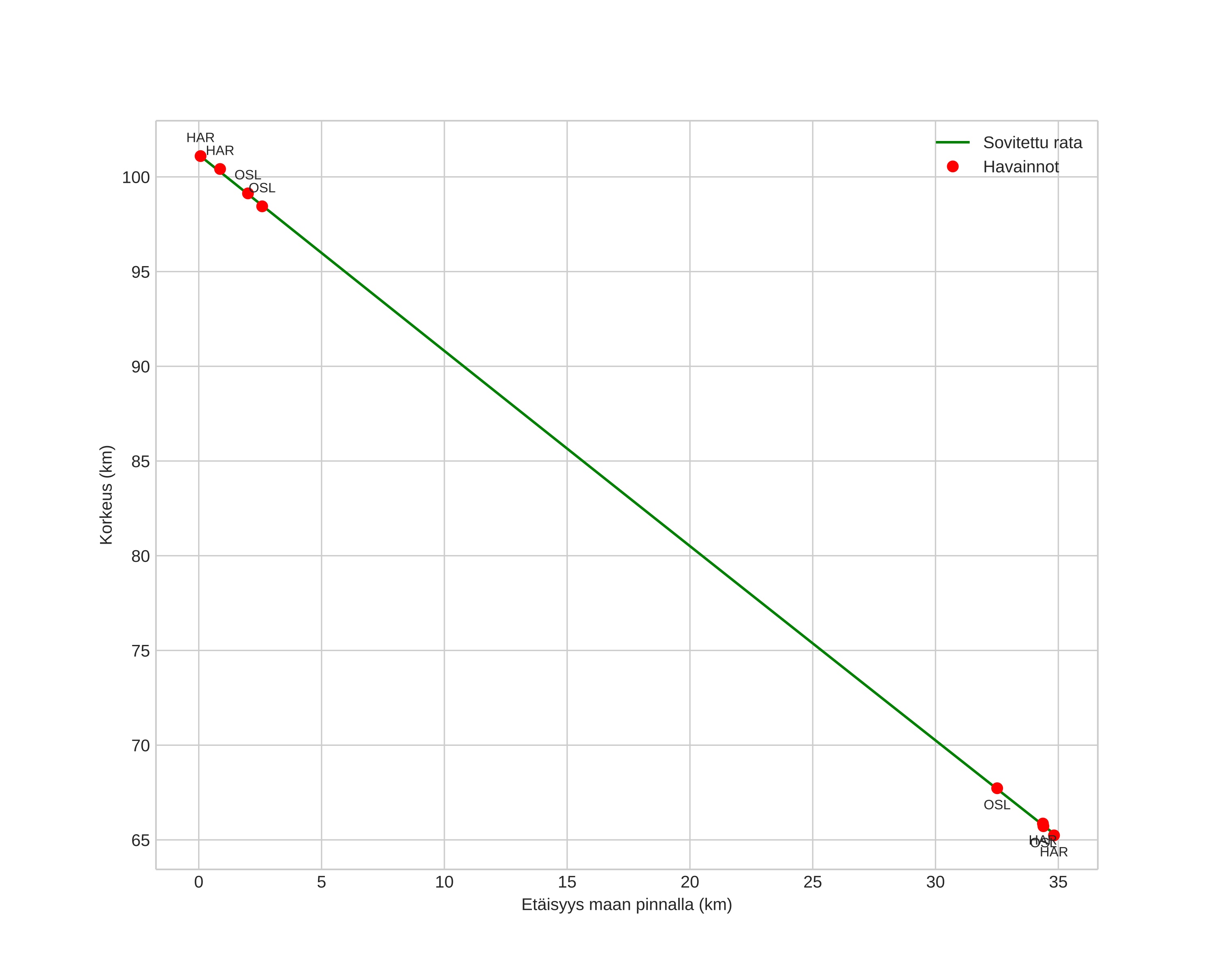
height profile
Meteorin ilmakehärata:
Alkukorkeus: 101,2 km
Loppukorkeus: 65,3 km
Alkupiste: 59,534N 9,683E
Loppupiste: 59,830N 9,888E
Suunta: 19,1°
Kallistuskulma: 45,8°
Tulonopeus: 32,0 km/s
Radiantin R,A,: 03:33 (53,4°)
Radiantin Dekl,: 14,9°
Meteoriparvi: Eteläiset tauridit
Meteoroidin rataelementit:
Perihelietäisyys: 0,303 AU
Eksentrisyys: 0,859
Inklinaatio: 5,6°
Nousevan solmun pituus: 40,1°
Perihelin argumentti: 120,3°
Keskianomalia: 347,1°
Epookki: 2015 NOV 03 01:06:06
orbit plot

Ei-interaktiivinen kuvaaja | Interaktiivinen kuvaaja

position vs time
speed and acceleration