🇳🇴 🇬🇧 🇩🇪 🇨🇿 🇫🇮

Meteor, poloha: Hov 2015-11-05 03:15:32 UTC

Soubor KML  |  InteraktivnĂ­ mapa

Mapa zobrazuje dráhy meteoru. Světlejší čáry ukazují směry od pozorovacích stanic při objevení se meteoru a tmavší čáry, kde byl naposledy viděn. Modrá šipka značí viditelnou dráhu meteoru.

static map
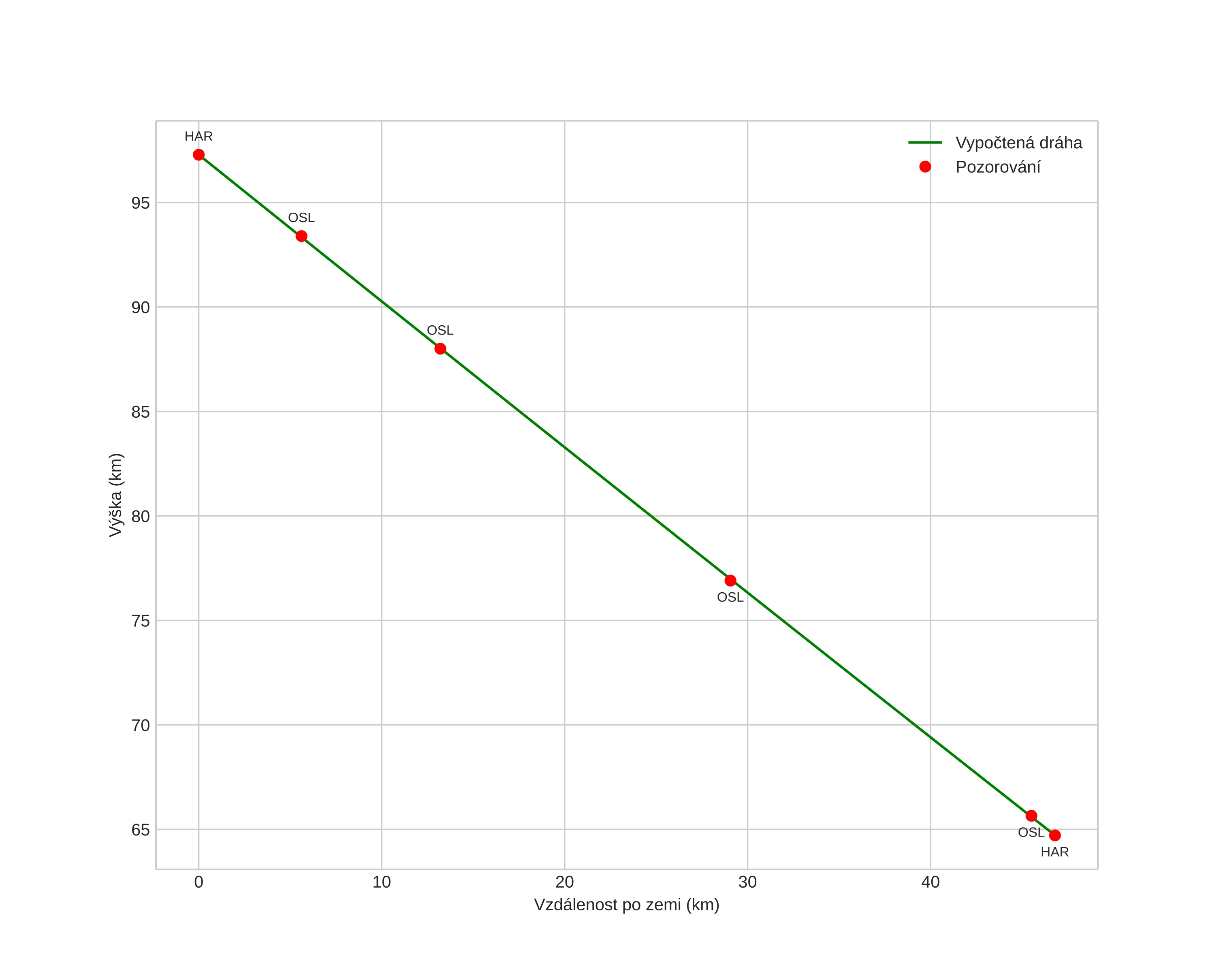
height profile
Atmosférická dráha meteoru:
Počáteční výška: 97,3 km
Konečná výška: 64,7 km
Počáteční poloha: 60,411N 9,529E
Konečná poloha: 60,626N 10,264E
Směr: 58,9°
Sklon: 34,9°
VstupnĂ­ rychlost: 31,5 km/s
Rektascenze radiantu: 03:35 (53,8°)
Deklinace radiantu: 14,8°
MeteorickĂ˝ roj: JiĹľnĂ­ Tauridy
Elementy dráhy meteoroidu:
Vzdálenost v periheliu: 0,331 AU
Excentricita: 0,858
Sklon dráhy: 5,5°
Délka vzestupného uzlu: 42,2°
Argument perihelia: 116,3°
Střední anomálie: 348,6°
Epocha: 2015 NOV 05 03:15:32
orbit plot

NeinteraktivnĂ­ graf | InteraktivnĂ­ graf

position vs time
speed and acceleration