🇳🇴 🇬🇧 🇩🇪 🇨🇿 🇫🇮

Meteor Hovin yllä 2015-11-05 03:15:32 UTC

KML-tiedosto  |  Interaktiivinen kartta

Kartta näyttää meteorin suuntahavainnot. Vaaleammat viivat näyttävät suunnat havaintoasemilta meteorin ilmestyessä, ja tummemmat viivat näyttävät, missä se viimeksi nähtiin. Sininen nuoli näyttää meteorin näkyvän lennon.

static map
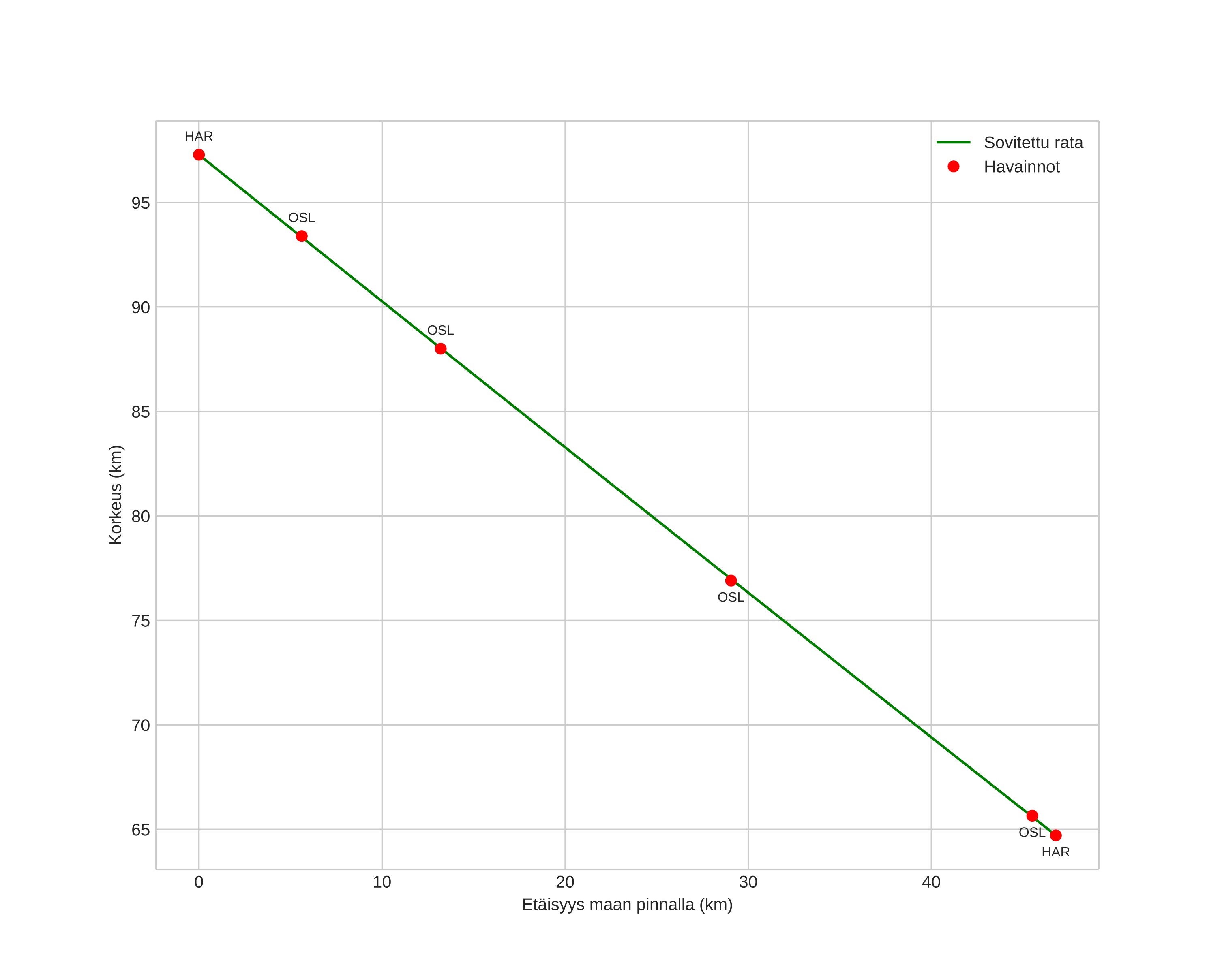
height profile
Meteorin ilmakehärata:
Alkukorkeus: 97,3 km
Loppukorkeus: 64,7 km
Alkupiste: 60,411N 9,529E
Loppupiste: 60,626N 10,264E
Suunta: 58,9°
Kallistuskulma: 34,9°
Tulonopeus: 31,5 km/s
Radiantin R,A,: 03:35 (53,8°)
Radiantin Dekl,: 14,8°
Meteoriparvi: Eteläiset tauridit
Meteoroidin rataelementit:
Perihelietäisyys: 0,331 AU
Eksentrisyys: 0,858
Inklinaatio: 5,5°
Nousevan solmun pituus: 42,2°
Perihelin argumentti: 116,3°
Keskianomalia: 348,6°
Epookki: 2015 NOV 05 03:15:32
orbit plot

Ei-interaktiivinen kuvaaja | Interaktiivinen kuvaaja

position vs time
speed and acceleration