🇳🇴 🇬🇧 🇩🇪 🇨🇿 🇫🇮

Meteor, poloha: Sauda 2015-11-10 19:55:36 UTC

Soubor KML  |  InteraktivnĂ­ mapa

Mapa zobrazuje dráhy meteoru. Světlejší čáry ukazují směry od pozorovacích stanic při objevení se meteoru a tmavší čáry, kde byl naposledy viděn. Modrá šipka značí viditelnou dráhu meteoru.

static map
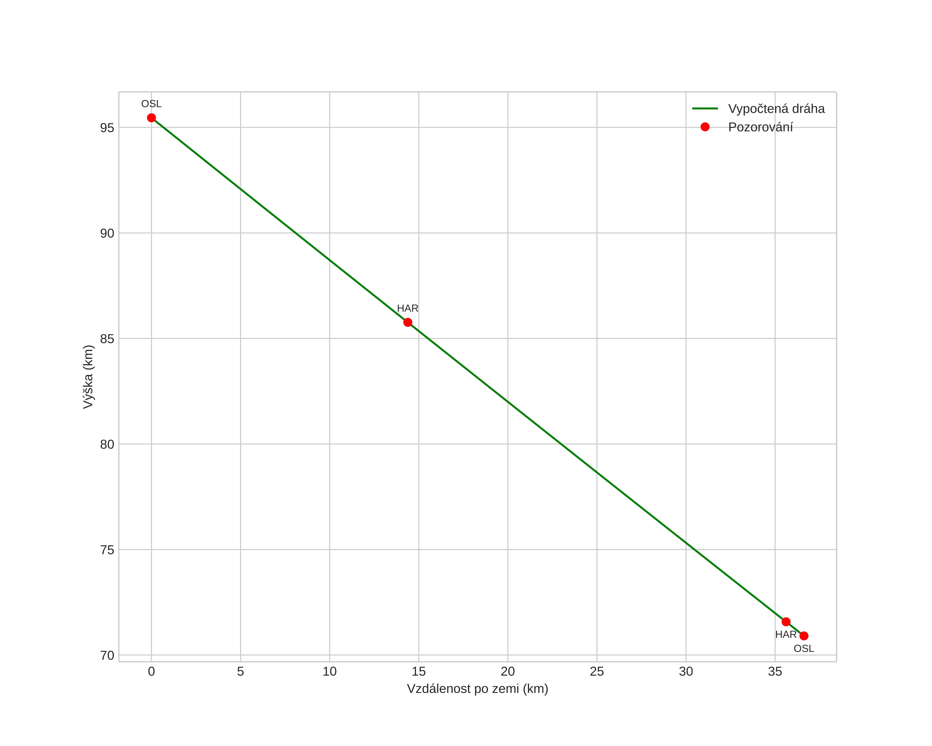
height profile
Atmosférická dráha meteoru:
Počáteční výška: 95,5 km
Konečná výška: 70,9 km
Počáteční poloha: 59,560N 6,874E
Konečná poloha: 59,675N 6,264E
Směr: 290,6°
Sklon: 33,9°
VstupnĂ­ rychlost: 27,4 km/s
Rektascenze radiantu: 03:26 (51,7°)
Deklinace radiantu: 17,1°
MeteorickĂ˝ roj: JiĹľnĂ­ Tauridy
Elementy dráhy meteoroidu:
Vzdálenost v periheliu: 0,471 AU
Excentricita: 0,788
Sklon dráhy: 1,5°
Délka vzestupného uzlu: 47,9°
Argument perihelia: 100,8°
Střední anomálie: 346,8°
Epocha: 2015 NOV 10 19:55:36
orbit plot

NeinteraktivnĂ­ graf | InteraktivnĂ­ graf

position vs time
speed and acceleration