🇳🇴 🇬🇧 🇩🇪 🇨🇿 🇫🇮

Meteor Saudan yllä 2015-11-10 19:55:36 UTC

KML-tiedosto  |  Interaktiivinen kartta

Kartta näyttää meteorin suuntahavainnot. Vaaleammat viivat näyttävät suunnat havaintoasemilta meteorin ilmestyessä, ja tummemmat viivat näyttävät, missä se viimeksi nähtiin. Sininen nuoli näyttää meteorin näkyvän lennon.

static map
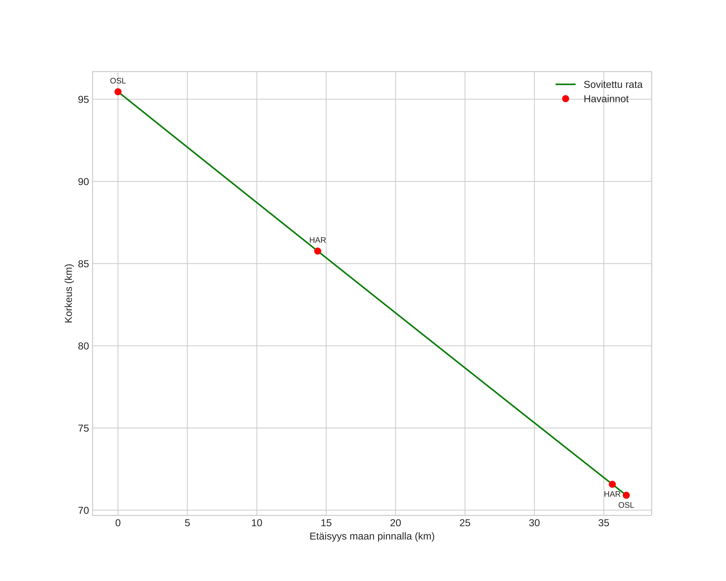
height profile
Meteorin ilmakehärata:
Alkukorkeus: 95,5 km
Loppukorkeus: 70,9 km
Alkupiste: 59,560N 6,874E
Loppupiste: 59,675N 6,264E
Suunta: 290,6°
Kallistuskulma: 33,9°
Tulonopeus: 27,4 km/s
Radiantin R,A,: 03:26 (51,7°)
Radiantin Dekl,: 17,1°
Meteoriparvi: Eteläiset tauridit
Meteoroidin rataelementit:
Perihelietäisyys: 0,471 AU
Eksentrisyys: 0,788
Inklinaatio: 1,5°
Nousevan solmun pituus: 47,9°
Perihelin argumentti: 100,8°
Keskianomalia: 346,8°
Epookki: 2015 NOV 10 19:55:36
orbit plot

Ei-interaktiivinen kuvaaja | Interaktiivinen kuvaaja

position vs time
speed and acceleration