🇳🇴 🇬🇧 🇩🇪 🇨🇿 🇫🇮

Meteor, poloha: Spetalen 2015-11-10 22:01:38 UTC

Soubor KML  |  InteraktivnĂ­ mapa

Mapa zobrazuje dráhy meteoru. Světlejší čáry ukazují směry od pozorovacích stanic při objevení se meteoru a tmavší čáry, kde byl naposledy viděn. Modrá šipka značí viditelnou dráhu meteoru.

static map
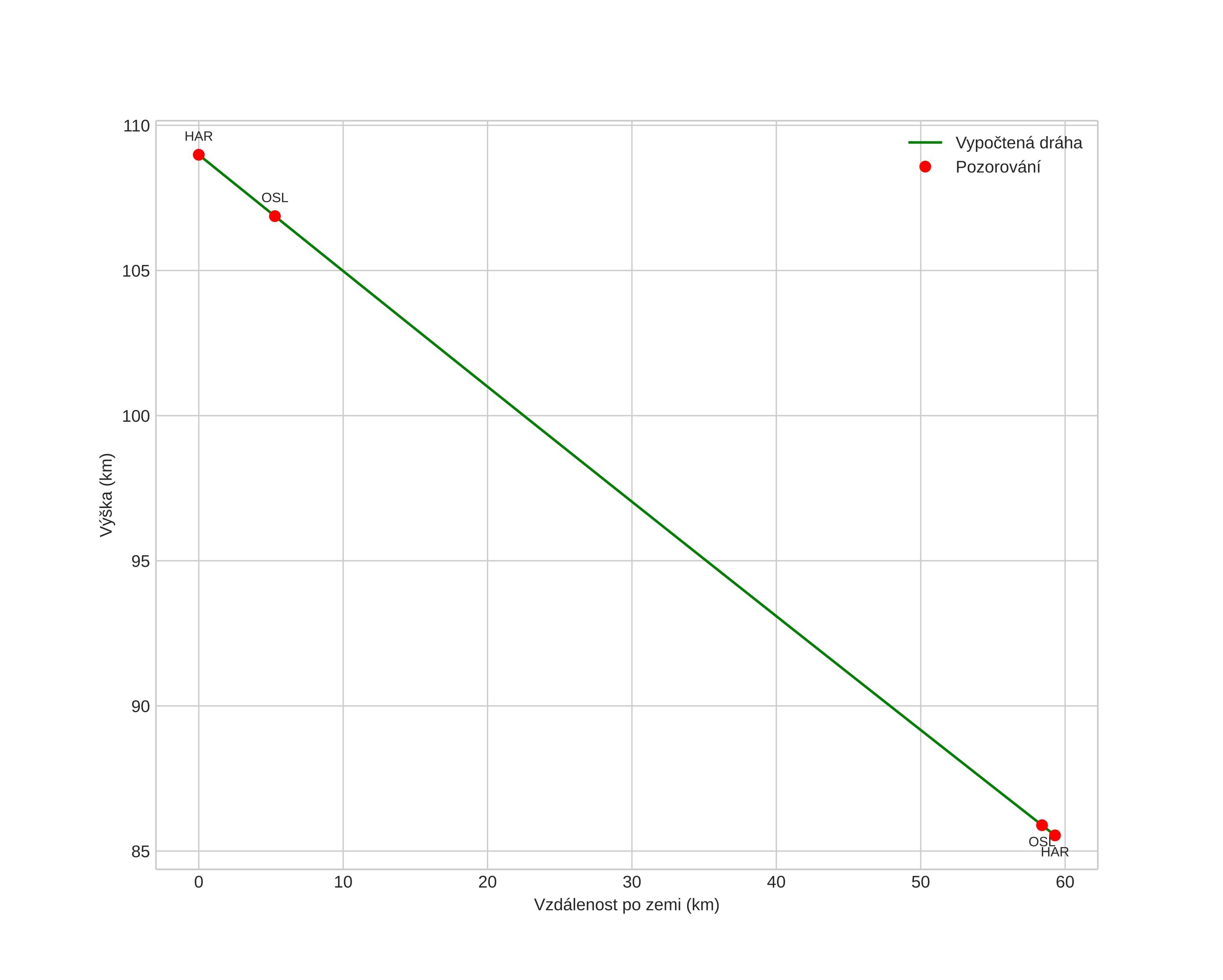
height profile
Atmosférická dráha meteoru:
Počáteční výška: 109,0 km
Konečná výška: 85,5 km
Počáteční poloha: 59,999N 12,861E
Konečná poloha: 60,136N 11,828E
Směr: 285,3°
Sklon: 21,6°
VstupnĂ­ rychlost: 60,0 km/s
Rektascenze radiantu: 06:36 (99,1°)
Deklinace radiantu: 10,8°
MeteorickĂ˝ roj: sporadickĂ˝
Elementy dráhy meteoroidu:
Vzdálenost v periheliu: 0,208 AU
Excentricita: 0,977
Sklon dráhy: 139,2°
Délka vzestupného uzlu: 48,0°
Argument perihelia: 126,8°
Střední anomálie: 358,7°
Epocha: 2015 NOV 10 22:01:38
orbit plot

NeinteraktivnĂ­ graf | InteraktivnĂ­ graf

position vs time
speed and acceleration