🇳🇴 🇬🇧 🇩🇪 🇨🇿 🇫🇮

Meteor Spetalenin yllä 2015-11-10 22:01:38 UTC

KML-tiedosto  |  Interaktiivinen kartta

Kartta näyttää meteorin suuntahavainnot. Vaaleammat viivat näyttävät suunnat havaintoasemilta meteorin ilmestyessä, ja tummemmat viivat näyttävät, missä se viimeksi nähtiin. Sininen nuoli näyttää meteorin näkyvän lennon.

static map
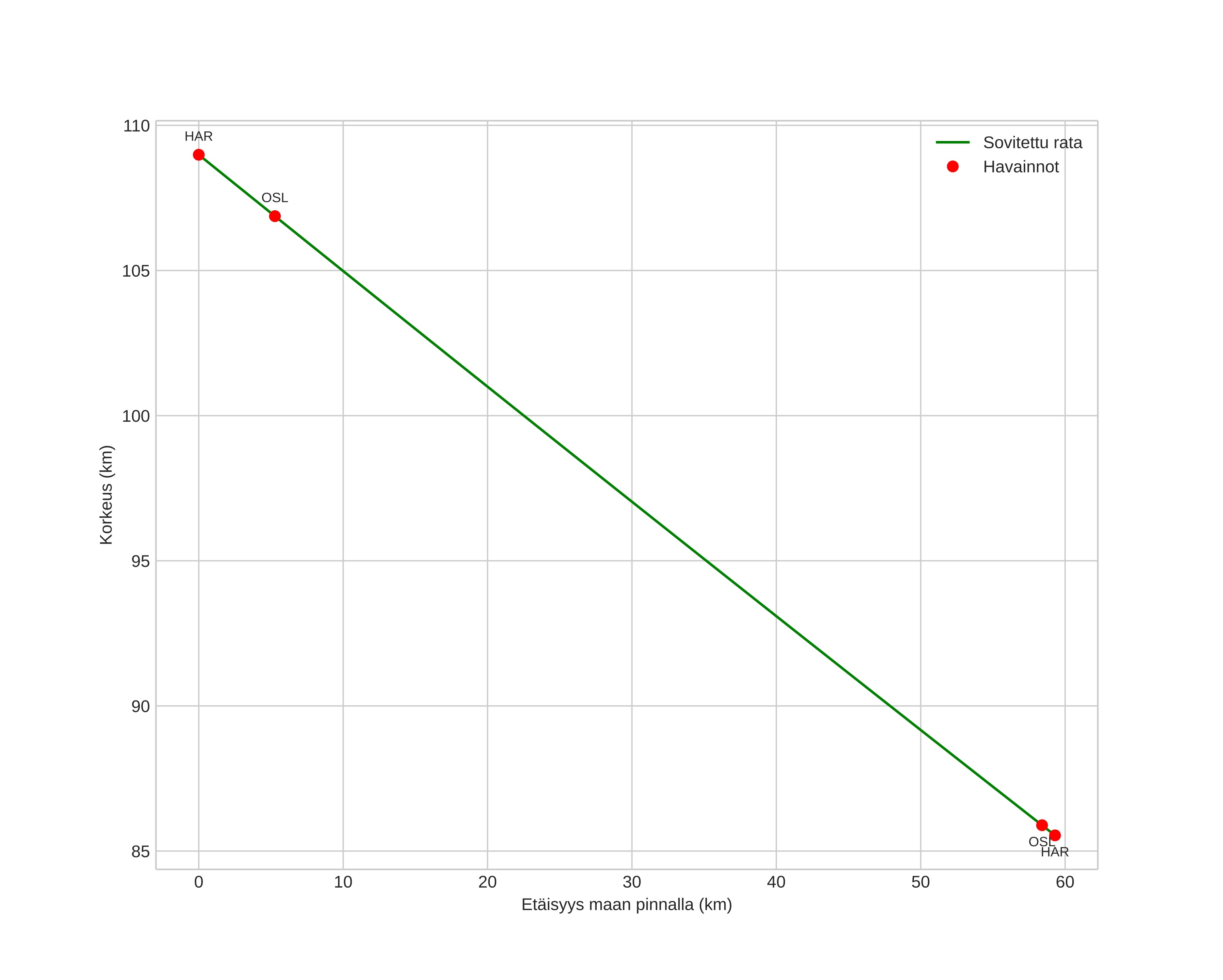
height profile
Meteorin ilmakehärata:
Alkukorkeus: 109,0 km
Loppukorkeus: 85,5 km
Alkupiste: 59,999N 12,861E
Loppupiste: 60,136N 11,828E
Suunta: 285,3°
Kallistuskulma: 21,6°
Tulonopeus: 60,0 km/s
Radiantin R,A,: 06:36 (99,1°)
Radiantin Dekl,: 10,8°
Meteoriparvi: Sporadinen
Meteoroidin rataelementit:
Perihelietäisyys: 0,208 AU
Eksentrisyys: 0,977
Inklinaatio: 139,2°
Nousevan solmun pituus: 48,0°
Perihelin argumentti: 126,8°
Keskianomalia: 358,7°
Epookki: 2015 NOV 10 22:01:38
orbit plot

Ei-interaktiivinen kuvaaja | Interaktiivinen kuvaaja

position vs time
speed and acceleration