🇳🇴 🇬🇧 🇩🇪 🇨🇿 🇫🇮

Meteor, poloha: Svenstrup 2015-11-10 22:41:59 UTC

Soubor KML  |  InteraktivnĂ­ mapa

Mapa zobrazuje dráhy meteoru. Světlejší čáry ukazují směry od pozorovacích stanic při objevení se meteoru a tmavší čáry, kde byl naposledy viděn. Modrá šipka značí viditelnou dráhu meteoru.

static map
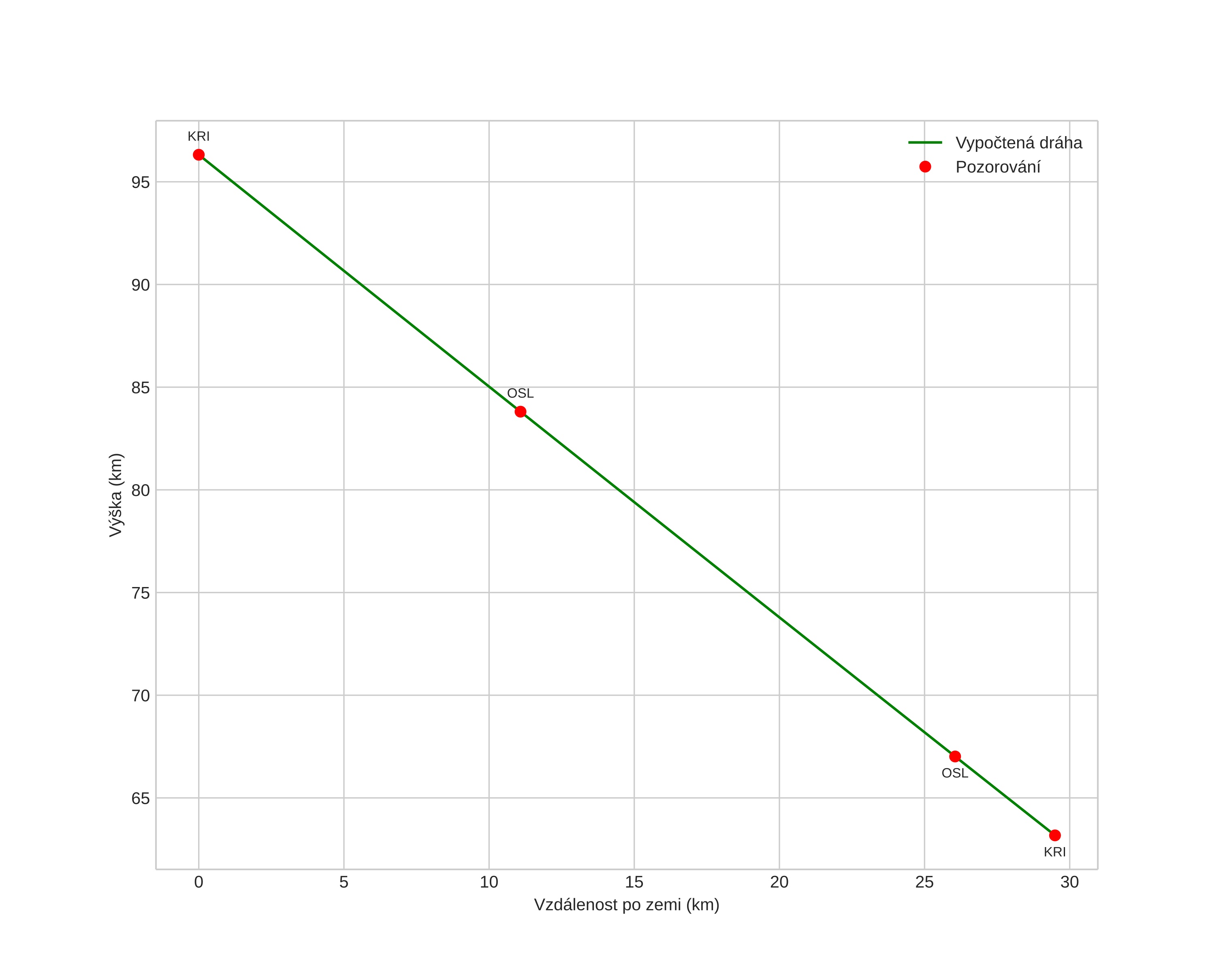
height profile
Atmosférická dráha meteoru:
Počáteční výška: 96,3 km
Konečná výška: 63,2 km
Počáteční poloha: 56,750N 10,079E
Konečná poloha: 56,991N 9,877E
Směr: 335,6°
Sklon: 48,3°
VstupnĂ­ rychlost: 28,6 km/s
Rektascenze radiantu: 03:46 (56,7°)
Deklinace radiantu: 15,2°
MeteorickĂ˝ roj: JiĹľnĂ­ Tauridy
Elementy dráhy meteoroidu:
Vzdálenost v periheliu: 0,406 AU
Excentricita: 0,796
Sklon dráhy: 4,7°
Délka vzestupného uzlu: 48,0°
Argument perihelia: 109,3°
Střední anomálie: 344,5°
Epocha: 2015 NOV 10 22:41:59
orbit plot

NeinteraktivnĂ­ graf | InteraktivnĂ­ graf

position vs time
speed and acceleration