🇳🇴 🇬🇧 🇩🇪 🇨🇿 🇫🇮

Meteor über Svenstrup 2015-11-10 22:41:59 UTC

KML-Datei  |  Interaktive Karte

Die Karte zeigt die Peilungen für den Meteor. Die helleren Linien zeigen die Richtungen von den Beobachtungsorten beim Erscheinen des Meteors, und die dunkleren Linien, wo er zuletzt gesehen wurde. Der blaue Pfeil zeigt die sichtbare Bahn des Meteors.

static map
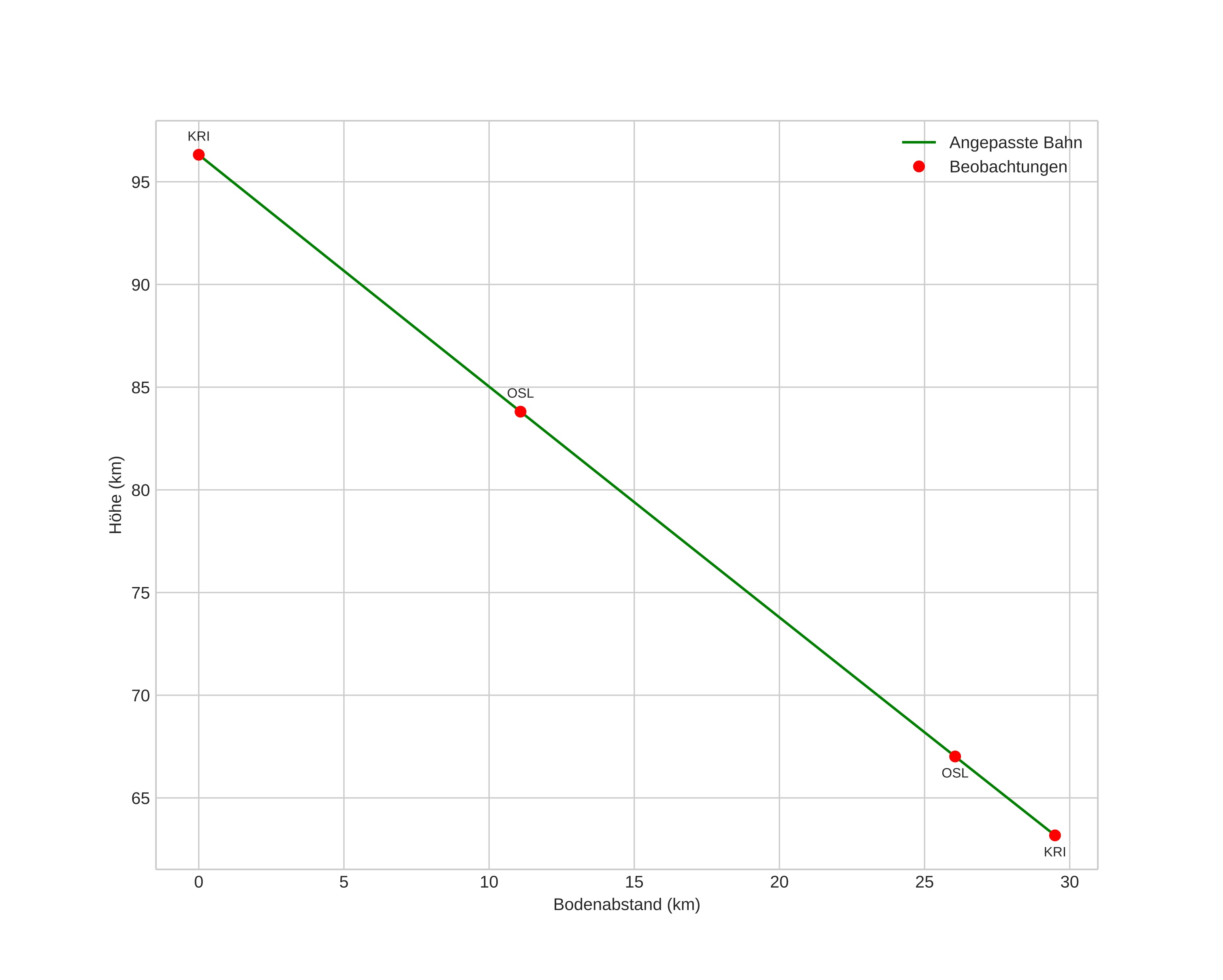
height profile
Atmosphärische Bahn des Meteors:
Anfangshöhe: 96,3 km
Endhöhe: 63,2 km
Startposition: 56,750N 10,079E
Endposition: 56,991N 9,877E
Richtung: 335,6°
Neigungswinkel: 48,3°
Eintrittsgeschwindigkeit: 28,6 km/s
Rektaszension des Radianten: 03:46 (56,7°)
Deklination des Radianten: 15,2°
Meteorstrom: Südliche Tauriden
Bahnelemente des Meteoroiden:
Periheldistanz: 0,406 AU
Exzentrizität: 0,796
Inklination: 4,7°
Länge des aufsteigenden Knotens: 48,0°
Argument des Perihels: 109,3°
Mittlere Anomalie: 344,5°
Epoche: 2015 NOV 10 22:41:59
orbit plot

Nicht-interaktives Diagramm | Interaktives Diagramm

position vs time
speed and acceleration